Tôm sú Penaeus monodon là một loài động vật giáp xác có giá trị kinh tế cao trong ngành nuôi trồng thủy sản ở Tanzania. Tuy nhiên, việc nuôi tôm sú gặp nhiều hạn chế do chi phí thức ăn cao, đặc biệt là do sử dụng bột cá (FM) làm nguyên liệu chính. Bột cá đắt đỏ và ngày càng khan hiếm, ảnh hưởng đến hiệu quả sản xuất và lợi nhuận của người nuôi. Nghiên cứu này xác định hiệu suất của protein thực vật có nguồn gốc từ tảo Chaetomorpha (CA) thay thế FM trong khẩu phần ăn đến tỷ lệ sống, sử dụng thức ăn, thành phần sinh hóa và axit béo của tôm sú nuôi Penaeus monodon. Bốn nguồn thức ăn thử nghiệm; F0, F1, F2 và F3 với mức thay thế FM lần lượt là 0, 10, 20 và 30%. Tôm post có trọng lượng 0,49 ± 0,06 g được thả với mật độ 15 con/m3 trong lưới đàn hạc 2m3 trong 3 lần lặp lại.
Kết quả nghiên cứu cho thấy:
- Tỷ lệ sống của tôm sú nuôi F2 cao nhất
- Sự tăng trưởng của tôm sú nuôi F2 và F3 cao hơn đáng kể so với F0 và F1, trong khi F3 cho thấy mức tăng trọng cao nhất.
- Chỉ số soma cơ (MSI) cao nhất được quan sát thấy ở nghiệm thức F2, trong khi F3 cho thấy hàm lượng protein thô (CP) cao nhất.
- Chất béo thô (CF) trong nghiệm thức F0 và F2 cao đáng kể ở các mức độ đưa vào.
- Thành phần axit béo bão hòa (SFA) của tôm sú nuôi F0 và F1 cao hơn đáng kể, trong khi F2 và F3 cho thấy hàm lượng axit béo không bão hòa đa (PUFA) cao hơn đáng kể.
Việc đưa CA ở mức 20 đến 30% vào khẩu phần ăn đã cải thiện việc sử dụng thức ăn, thành phần sinh hóa và axit béo của tôm Penaeus monodon nuôi. Tuy nhiên, việc đưa CA vào ở mức 30% cho thấy làm giảm tỷ lệ sống và biểu hiện lượng axit béo bão hòa cao. Như vậy, ở mức thay thế 20%, CA phù hợp để thay thế một phần FM trong khẩu phần ăn cho P. monodon.
Với đất đai phù hợp và nguồn nước dồi dào, Tanzania có tiềm năng nuôi trồng thủy sản cao nhất ở châu Phi, thường là hoạt động tự cung tự cấp được thực hiện chủ yếu bởi nông dân quy mô nhỏ (Chenyambuga và cộng sự, 2012), chủ yếu do chi phí liên quan đến FM, nguồn protein chính và các quy trình kỹ thuật sản xuất thức ăn cho tôm. Kết quả là, nuôi tôm trong nước hoàn toàn phụ thuộc vào thức ăn nhập khẩu, thường đắt tiền và hầu hết nông dân địa phương khó tiếp cận.
Protein là thành phần quan trọng và đắt tiền trong hệ thống xây dựng khẩu phần ăn (FAO, 2003). Nguồn protein thường được sử dụng trong thức ăn cho tôm là FM (Smith và cộng sự, 2005), tuy nhiên, trữ lượng bột cá giảm (Akiyama và cộng sự, 1995), nguồn cung cấp không đều, góp phần làm hư hỏng tôm, gây tạp nhiễm, mầm bệnh sinh học. (Fox và cộng sự, 2004), chi phí cao (Hardy, 2006), thu hoạch hạn chế và không thể đoán trước (Nagappan và cộng sự, 2021) đã thúc đẩy nghiên cứu để thay thế một phần hoặc hoàn toàn FM trong thức ăn thủy sản để giảm chi phí và cải thiện hiệu quả sử dụng thức ăn ở sinh vật nuôi.
Tảo được xem là nguồn nguyên liệu tiềm năng thay thế cho bột cá trong khẩu phần ăn cho tôm. Nasmia và cộng sự (2022) báo cáo việc bổ sung Caulerpa sp. vào hệ thống nuôi ghép tôm thẻ chân trắng và cá măng sữa Chanos chanos đã cải thiện hiệu quả sử dụng thức ăn, tỷ lệ sống và giảm tỷ lệ chuyển đổi thức ăn. Việc bổ sung 30 g/Kg Caulerpa lentillifera đã cải thiện tỷ lệ chuyển đổi trọng lượng và hiệu quả thức ăn của P. monodon (Putra và cộng sự, 2019). Trong khi đó, Hafezieh và cộng sự (2014) đã báo cáo khi bổ sung Sargassum sp. vào thức ăn cho thấy cải thiện sự tăng trưởng của tôm thẻ chân trắng Litopenaeus vannamei. Tuy nhiên, việc sử dụng CA trong khẩu phần ăn cho tôm vẫn chưa được báo cáo. Trong khi đó, hiệu quả của việc thay thế FM bằng tảo trên prole axit amin hiếm khi được báo cáo. Ju và cộng sự (2009) đã báo cáo rằng axit béo tăng lên sau khi bổ sung toàn bộ Thalassiosira weissogii vào thức ăn Litopenaeus vannamei. González-Meza và cộng sự (2022) đã báo cáo về thành phần protein được cải thiện ở tôm thẻ chân trắng Penaeus vannamei khi bổ sung 3% hỗn hợp ba loài vi tảo khác nhau, Tetraselmis suecica, Dunaliella salina và Chaetoceros muelleri. Tuy nhiên, tác dụng của việc thay thế FM bằng CA đối với axit béo của P. monodon vẫn chưa được báo cáo.
CA có nhiều ở bờ biển Tanzania, thường được người dân địa phương thu hoạch khi thủy triều xuống để làm thức ăn chăn nuôi trên cạn, do rất giàu polysaccharides không tinh bột, vitamin, khoáng chất (Wong & Cheung, 2000), protein và lipid (Da Silva & Barbosa, 2008) và các hoạt chất sinh học (Khan & Satam, 2003). Chất hoạt tính sinh học trong tảo bao gồm carotenoid, alkaloid, polyphenol, phycocyanin, terpen và một số enzyme (Maharana và cộng sự, 2015).
Hàm lượng protein trong tảo biển thay đổi từ 10 đến 47% trọng lượng khô giữa các loài, trong đó tảo đỏ vượt trội hơn các loại khác (Cruz-Suárez và cộng sự, 2008; Setthamongkol và cộng sự, 2015). Hàm lượng protein trong tảo xanh dao động từ 9 đến 26% trọng lượng khô (Fleurence và cộng sự, 2018) trong khi ở CA đã được báo cáo là khoảng 20,4 g/100 g (Tsutsui và cộng sự, 2015). Loài này cũng đã được báo cáo là có đặc tính chống oxy hóa (Gazali và cộng sự, 2019), có thể làm ứng cử viên để thúc đẩy tăng trưởng. Những thực tế này khiến CA trở thành một ứng cử viên tiềm năng trong các thử nghiệm thay thế FM. Các thử nghiệm đồng nuôi CA với P. monodon đã được báo cáo là giúp nâng cao hiệu suất tăng trưởng và giảm tỷ lệ chuyển hóa thức ăn (Tsutsui và cộng sự, 2015).
Nghiên cứu này điều tra tính hiệu quả của việc thay thế một phần FM bằng tảo CA giá rẻ trong nuôi P. monodon bằng cách đánh giá tỷ lệ sống, việc sử dụng thức ăn, thành phần sinh hóa và prole axit amin, và mức thay thế phù hợp nhất để giúp nông dân chuẩn bị thức ăn trong việc xây dựng thức ăn có chi phí thấp có thể làm tăng lợi nhuận từ hoạt động kinh doanh nuôi tôm. Thông tin này cũng hữu ích khi sản xuất các loại axit béo bão hòa thấp mà cơ tôm tiêu thụ được.
Thí nghiệm này được tiến hành trong lưới đàn hạc có diện tích 2 m2 và được lắp 3 lần trong ao đất rộng 4500 m2. Trước khi thả giống, ao được xử lý bằng vôi trong 7 ngày và đổ đầy nước để lưu lại trong năm ngày trước khi thả giống. Vào ngày thả giống, việc đo chất lượng nước (pH, độ mặn, nhiệt độ) đã được thực hiện để kiểm soát sự khác biệt giữa bể thuần hóa và ao nuôi.
Trọng lượng ướt vài kg của tảo CA được thu thập từ bờ biển gần cửa sông Pangani. Tảo thu được sẽ được phân loại và rửa sạch để loại bỏ các chất không mong muốn, sau đó được nghiền bột và sấy trong lò ở nhiệt độ 40℃. Ngoại trừ dầu, tất cả các thành phần khác được sử dụng trong thí nghiệm này, bao gồm bạc cyprinid (Rastineobola argentea), đậu tương, cám lúa mì (WB), mầm ngô (MG), lạc (GN), đều ở dạng khô và được nghiền thành bột bằng máy có sẵn ở địa phương.
Bốn nguồn thức ăn thử nghiệm (F0 – đối chứng, F1, F2 và F3) với mức thay thế FM lần lượt là 0, 10, 15 và 20%, được lập công thức như trong Bảng 1. Các nguồn thức ăn thử nghiệm được nghiền lại bằng máy nghiền hạng nặng để tạo thành một loại bột ne, sau đó trộn với nước trong máy xay thực phẩm để tạo thành bột nhào. Bột được nấu trong 10 phút bằng cách hấp. Bột đã nấu chín được chuyển thành dạng viên vụn bằng máy tạo viên cơ học. Viên được sấy khô ở 90℃ trong 1 phút, giảm độ ẩm xuống khoảng 18%, sau đó sấy khô thêm ở 60℃ để giảm độ ẩm xuống khoảng 8%. Thức ăn viên khô được bảo quản ở nhiệt độ phòng để làm thí nghiệm cho ăn.
Bảng 1: Thành phần khẩu phần thí nghiệm

Tôm post P. monodon được thu thập từ tháng 10 – 11 năm 2021 ở cửa sông Pangani và vùng nước ven biển Tanga. Ngay sau khi thu thập, ấu trùng được bảo quản trong thùng nhựa 75 lít và được cung cấp oxy từ máy sục khí di động. Tôm post thu thập được được vận chuyển đến trại giống của nông dân địa phương ở Pangani. Tại trại giống, P. monodon được cho thích nghi trong 7 ngày trong bể bê tông 4 m3 chứa đầy nước lợ từ cửa sông Pangani. Để giảm bớt tia nắng, các bể chứa được bao phủ bởi lớp nhựa cứng trong mờ. Ấu trùng chết đã được loại bỏ khỏi hệ thống. Trước khi thả giống, tôm post được phân loại, cân trọng lượng và đo chiều dài bằng cân kỹ thuật số cầm tay và thước cặp vernier kỹ thuật số.
Tôm post có trọng lượng trung bình 0,49 ± 0,06 g được thả với mật độ 15 con/m2 trong lưới đàn hạc 2 m2. Thức ăn được cho ăn trên khay thức ăn theo thứ tự giảm dần, từ 5 lần/ ngày trong tuần đầu tiên đến 2 lần/ ngày trong tuần thứ 4, với tỷ lệ cho ăn hàng ngày tương ứng là 12% đến 6% sinh khối. Trong thời gian thử nghiệm kéo dài 45 ngày, việc lấy mẫu được tiến hành sau mỗi 15 ngày bằng cách đo trọng lượng và chiều dài.
Khi kết thúc thí nghiệm, 10 con tôm được lấy ngẫu nhiên từ mỗi đơn vị thí nghiệm và trọng lượng của mỗi cá thể được ghi lại. Sau đó, tôm được đông lạnh trong 48 giờ để tạo điều kiện thuận lợi cho quá trình bong tróc, sau đó là loại bỏ vỏ ngoài. Bùn thu được được bảo quản ở nhiệt độ -36℃ trước khi phân tích thành phần sinh hóa. Mỗi giá trị sinh hóa được xác định trong 3 lần nhắc lại và biểu thị bằng % trọng lượng ướt, dựa trên các thông số sau: Protein (Latimer, 2016), lipid (Pombal và cộng sự, 2017), tổng tro (AOAC, 2000), chất xơ (AOAC, 2005), axit béo (Kang & Wang, 2005; Kokotou, 2020), carbohydrate (Soga, 2000), chất khô và độ ẩm (Jain & Singh, 2000). Khoáng chất bao gồm canxi (Ca) và phốt pho (P) được phân tích theo phương pháp AOAC (1995). Các thông số sử dụng thức ăn bao gồm Tỷ lệ chuyển đổi thức ăn (FCR), Tăng trọng (W) và Chỉ số cơ thể (MSI) được phân tích bằng các phương pháp được mô tả bởi Kokotou (2020) và Sarlin và Philip (2016) như sau;

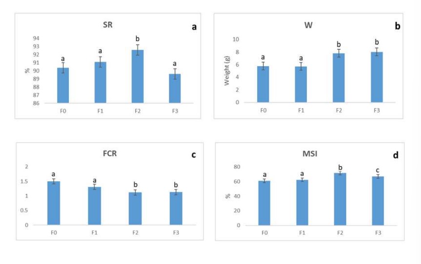
Kết quả về tỷ lệ sống (SR) và việc sử dụng thức ăn được thể hiện trong Hình 1a-d. Tỷ lệ sống trung bình của tôm được nuôi bằng nghiệm thức F2 (92,59±7,14) cao hơn đáng kể (p< 0,05, Hình 1a) so với các nghiệm thức khác. Tôm được nuôi bằng nghiệm thức F3 có SR thấp nhất (89,62±10,50). Ngược lại, mức tăng trọng cao nhất (8,02±0,26 g) được quan sát thấy ở tôm được nuôi bằng nghiệm thức F3, hơi giống với tôm được nuôi bằng nghiệm thức F2 (7,80±0,49 g), nhưng khác biệt đáng kể (p< 0,05, Hình 1b) đối với tôm được nuôi bằng nghiệm thức F0 (5,78±0,29 g) và F1 (5,72±0,43 g). Mức tăng trọng thấp nhất được ghi nhận ở tôm được nuôi bằng nghiệm thức F1.

Hình 1 Ảnh hưởng của các nghiệm thức khác nhau đến a) SR (Tỷ lệ sống), b) W (Tăng trọng), c) FCR (Tỷ lệ chuyển đổi thức ăn) và d) MSI (Chỉ số soma cơ). Dữ liệu được trình bày dưới dạng giá trị trung bình và sai số chuẩn (trung bình ± SEM) của ba lần lặp. Các cột có chữ cái chỉ số trên khác nhau thì khác nhau rõ rệt (P < 0,05).
Hơn nữa, tôm được nuôi bằng nghiệm thức F2 có tỷ lệ chuyển đổi thức ăn (FCR) thấp nhất là 1,12 ± 0,04, gần giống (p<0,05) với tôm được nuôi bằng nghiệm thức F3 (1,13 ± 0,04). Tôm được nuôi bằng nghiệm thức F0 và F2 có FCR thấp (lần lượt là 1,50 ± 0,01 và 1,31 ± 0,03), khác biệt đáng kể (p<0,05, Hình 1c) so với tôm còn lại. Tôm được nuôi bằng nghiệm thức F0 có FCR cao nhất (1,50±0,10). Ngoài ra, chỉ số soma cơ (MSI) trong các nghiệm thức F0 (60,94±5,68%) và F1 (62,50±3,15%) biểu hiện MSI gần giống nhau, nhưng khác biệt đáng kể (p< 0,05, Hình 1d) so với tôm được nuôi bằng nghiệm thức F2 (71,77±2,32%) và F3 (66,93±2,17%). Ảnh hưởng tối đa đến MSI được ghi nhận ở F2.
Thành phần sinh hóa của cơ tôm được nuôi bằng khẩu phần ăn thử nghiệm được tóm tắt trong Bảng 2 và 3. Kết quả cho thấy ảnh hưởng của mức độ thay thế đến thành phần sinh hóa của cơ tôm và axit béo khác nhau giữa các nghiệm thức. Protein thô (CP) của cơ tôm khác nhau đáng kể (p<0,05) giữa các nghiệm thức, trong đó tôm được nuôi bằng nghiệm thức F1 (78,42 ± 0,62%) và F2 (78,10 ± 1,47%) có thành phần gần giống nhau và F3 có thành phần CP cao nhất (79,11±1,05%). Thành phần CP thấp nhất được ghi nhận ở tôm được nuôi bằng nghiệm thức F0 (77,44 ± 1,08%).
Hơn nữa, mức chất béo thô (CF) cao đáng kể (p<0,05, Bảng 2) ở tôm được nuôi ở mức xử lý thấp (F0 và F1) so với mức xử lý cao (F2 và F3). CF cao nhất (3,81±0,43%) được ghi nhận ở tôm được nuôi bằng F0, trong khi thấp nhất (2,20±0,37%) được ghi nhận ở tôm được nuôi bằng F3. Tương tự, tôm được nuôi bằng nghiệm thức F2 và F3 có mức chất béo thô cao đáng kể (p<0,05, Bảng 2) so với tôm được nuôi bằng nghiệm thức F1 và F0.
Ngược lại, hàm lượng tro, chất khô hoặc phốt pho giữa các nghiệm thức không khác biệt. Hàm lượng carbohydrate thấp ở tôm được nuôi bằng nghiệm thức F0 (3,24±0,33%) và F1 (3,42±0,44%), khác biệt đáng kể (p<0,05, Bảng 2) so với tôm được nuôi bằng F2 (4,64±0,11%) và F3 (4,08±0,05%). Ngoài ra, thành phần canxi của tôm được nuôi bằng nghiệm thức F3 khác biệt đáng kể (p<0,05) so với tôm còn lại. Thành phần canxi thấp nhất (62,76±0,43 mg/100g) được thể hiện ở tôm được nuôi bằng nghiệm thức F1, trong khi tôm được nuôi bằng nghiệm thức F2 có tỷ lệ canxi và phốt pho thấp nhất (0,84 ± 3,0,22).
Thành phần axit béo ở các nghiệm thức khác nhau, nghiệm thức F0 và F1 có tỷ lệ axit béo bão hòa (SFA) cao đáng kể (p<0,05, Bảng 3) so với F2 và F3. Ngược lại, nghiệm thức F2 và F3 có axit béo không bão hòa đa (PUFA) tương đối cao so với F0 và F1. Tuy nhiên, nồng độ axit béo không bão hòa đơn (MUFA) trong tôm là tương tự nhau (p<0,05, Bảng 3) qua các nghiệm thức. MUFA cao nhất (9,17 ± 0,25) được tìm thấy ở tôm được nuôi bằng F0, trong khi thấp nhất (8,80±0,41) được tìm thấy ở tôm được nuôi bằng F3.
Bảng 2: Thành phần sinh hóa của tôm P. monodon được nuôi bằng khẩu phần thí nghiệm trong đó bột cá được thay thế một phần bằng tảo ở tỷ lệ 0 (F0), 10 (F1), 20 (F2) và 30% (F3)

Bảng 3: Thành phần axit béo của tôm P. monodon được nuôi bằng khẩu phần thí nghiệm trong đó bột cá được thay thế một phần bằng tảo ở mức 0 (F0), 10 (F1), 20 (F2) và 30% (F3)

Giá trị là trung bình (n=12) ± độ lệch chuẩn của 3 lần lặp lại, giá trị có các chữ cái chỉ số trên khác nhau trong một hàng là sai khác có ý nghĩa thống kê (P < 0,05).
Sự thay thế FM có tác động đáng kể đến việc sử dụng thức ăn ở các cấp độ xử lý khác nhau. Nghiên cứu hiện tại tìm thấy những biến thể khác nhau trong việc đáp ứng với mức độ điều trị CA. Ví dụ, trọng lượng tăng lên khi tăng mức độ điều trị, cho thấy CA hỗ trợ tăng trọng và cuối cùng là tăng trưởng của tôm. Tảo đã được báo cáo là chất kích thích tăng trưởng tốt nhờ sự hiện diện của axit amin và các hợp chất có thể thúc đẩy tăng trưởng (Nasmia và cộng sự, 2022). Mặc dù thực tế là thức ăn thử nghiệm có hàm lượng protein tương tự (khoảng 40 CP), tôm có thành phần protein khác nhau do các nguồn dinh dưỡng khác nhau trong công thức thức ăn thử nghiệm. Tăng trọng tối đa được quan sát thấy ở tôm được cho ăn với mức thay thế FM 30%. CA chứa các hợp chất chống oxy hóa phức tạp (Gazali và cộng sự, 2019), góp phần luân chuyển protein bằng cách giảm tổn thương oxy hóa trong cơ xương, thúc đẩy tăng trưởng (Xavier và cộng sự, 2020), tăng cường khả năng miễn dịch (Datta, 2003), mang lại trạng thái khỏe mạnh hơn. Hiệu quả của tảo biển trong việc thúc đẩy tăng trưởng của tôm nuôi đã được một số tác giả báo cáo như Penaorida (1999) trên tôm P. monodon được nuôi bằng khẩu phần ăn có chứa 5% bột Kappaphycus alvarezii, Rivera và cộng sự (2002) trên tôm thẻ chân trắng Litopenaeus vannamei được cho ăn thức ăn chứa 10% bột Macrocystis; và Cruz-Suárez và cộng sự (2008) về thử nghiệm cho tôm ăn bột Ulva bổ sung 3,3%.
Tỷ lệ chuyển đổi thức ăn (FCR) bị ảnh hưởng bởi mức độ đưa vào điều trị. FCR giảm khi tăng mức điều trị lên tới 20% và chỉ quan sát thấy sự thay đổi nhỏ. Phát hiện này phù hợp với những báo cáo của Yıldırım và cộng sự (2014) khi bổ sung bột đậu phộng cao hơn thay thế bột cá trong cá rô phi giai đoạn cá bột dẫn đến FCR thấp. Tương tự, Motte và cộng sự (2019) đã báo cáo FCR ở L. vannamei giảm tới 50% ở mức thay thế FM được thay thế bằng bột côn trùng. Hơn nữa, các loài tảo khác nhau đã được báo cáo là có tác động khác nhau đến FCR. Ví dụ, Cruz-Suárez và cộng sự (2008) cho thấy bột Ulva giảm đáng kể FCR so với bột Macrocystis và Ascophyllum. Việc đưa Hypnea cervicornis và Cryptonemia crenulata vào thức ăn tôm với tỷ lệ lần lượt là 39% và 26%, dẫn đến FCR thay đổi lần lượt là 1,79:1 và 1,82:1 (Da Silva và Barbosa 2008). Những biến đổi trong thành phần hóa học của tảo có thể dẫn đến những biến đổi quan sát được.
Chỉ số cơ thể (MSI) tăng ở nghiệm thức F2, với mức tăng thêm về mức điều trị cho thấy sự thay đổi không đáng kể. Khi MSI tăng, điều đó cho thấy khẩu phần ăn dành cho cá đã được hấp thụ tốt và ngược lại. Tác động quan sát được trong nghiên cứu này cho thấy khả năng đồng hóa được cải thiện nhờ bổ sung tảo.
Việc thay thế FM bằng CA có tác động đến SR. SR bị ảnh hưởng tích cực đến mức điều trị F2, ngoài ra SR bị ảnh hưởng tiêu cực một chút. Sự hiện diện của chất dinh dưỡng như polysaccharides có khả năng cải thiện khả năng miễn dịch của tôm (Immanuel và cộng sự, 2012) có thể góp phần vào tỷ lệ sống được quan sát. Kết quả SR phù hợp với kết quả được báo cáo bởi Nasmia và cộng sự (2022) khi SR của tôm thẻ chân trắng cao ở mức 6% Caulerpa spp. mức thay thế và ở mức thấp đáng kể trong nhóm đối chứng. Tương tự, Suárez và cộng sự (2009) báo cáo tỷ lệ sống cao đáng kể ở tôm L. vannamei được cho ăn khẩu phần với mức thay thế 4% Sargassum spp.. Trong nghiên cứu này, mức độ thay thế cao đã cho thấy làm giảm tỷ lệ sống. Tuy nhiên, các nghiên cứu khác đã báo cáo SR cao ở mức thay thế cao, bao gồm cả phát hiện của Alvarez và cộng sự (2007) đã báo cáo SR trên 90% khi thay thế FM bằng đậu nành trong nuôi cấy Litopenaeus schmitti. Tương tự, Da Silva và Barbosa (2008) báo cáo SR được cải thiện ở L. vannamei ở mức thay thế 39% của Hypnea cervicornis và Cryptonemia crenulata.
Tôm được nhiều chuyên gia y tế đánh giá là một trong những thực phẩm lành mạnh nhất trên thế giới vì có nhiều lợi ích dinh dưỡng (Joseph, 2018). Các chất dinh dưỡng từ tôm rất hữu ích cho cơ thể con người. Ví dụ, tôm he chứa protein giàu axit amin thiết yếu (Yanar & Çelik, 2006), chúng thường có lượng calo thấp và được tạo thành từ cholesterol cực kỳ tốt cho sức khỏe (Joseph, 2018), protein chất lượng tốt (Yanar & Çelik, 2006), lượng axit amin tự do cao hơn (Banu và cộng sự, 2016), lượng chất béo và calo thấp hơn (Shalini và cộng sự, 2013), chứa một loại protein ít chất béo bão hòa và giàu chất béo không bão hòa đa, đặc biệt là các axit béo ω-3 là axit Eicosapentaenoic (EPA, C20:5n-3) và axit Docosahexaenoic (DHA, C22:6n-3). vượt trội so với các loại thịt khác (Bragagnolo & Rodriguez-Amaya, 2001; Priyadarshini và cộng sự, 2015). Hơn nữa, tôm còn chứa nhiều vitamin và khoáng chất cần thiết cho cơ thể con người. Nhìn chung, giá trị dinh dưỡng của động vật giáp xác phụ thuộc vào thành phần sinh hóa, chẳng hạn như protein, axit amin, lipid, axit béo, carbohydrate, vitamin, khoáng chất và các phân tử sinh học liên quan (Banu và cộng sự, 2016).
Thành phần sinh hóa của các mô ăn được của động vật không xương sống ở biển cùng với các yếu tố khác bị ảnh hưởng bởi thói quen dinh dưỡng (Srilatha và cộng sự, 2013). Trong nghiên cứu này, việc thay thế một phần FM bằng tảo đã cho thấy cải thiện giá trị dinh dưỡng của tôm qua các nghiệm thức. Kết quả một phần phù hợp với báo cáo của Jeyasanta và Patterson (2017), cho thấy protein, lipid, carbohydrate, chất xơ, tro cao hơn ở tôm được nuôi bằng khẩu phần ăn thử nghiệm được chế biến từ nguyên liệu địa phương.
Trong nghiên cứu này, tôm được nuôi với mức thay thế 30% cho thấy mức tăng protein cao nhất, với mức thay thế (10 và 20%) cho thấy sự khác biệt không đáng kể. Kết quả này phù hợp với các báo cáo về nuôi tôm nước ngọt của Reddy và Reddy (2014) và Ferdose và Hossain (2011), báo cáo mức tăng protein lần lượt là 72,99 đến 74,89% và 74,85 ± 0,65%. Sự khác biệt quan sát được có liên quan đến các yếu tố như giới tính, chu kỳ sinh sản, thời gian đánh bắt, nguồn thức ăn sẵn có, mức độ thủy văn (Nargis, 2006). Hơn nữa, thành phần khẩu phần ảnh hưởng đến hàm lượng protein, điều này có thể góp phần vào sự thay đổi quan sát được trong thành phần protein.
Trong nghiên cứu này, giá trị carbohydrate tăng lên khi tăng mức độ thay thế. Tôm được nuôi trong nghiệm thức F2 và F3 có hàm lượng carbohydrate cao, có thể là do hàm lượng carbohydrate cao từ CA, được báo cáo là chứa tới 14% carbohydrate (Gazali và cộng sự, 2019). Giá trị carbohydrate của tôm được nuôi ở mức thay thế thấp (F0 và F1 cũng tương tự với giá trị được báo cáo (Pratap và cộng sự, 2018) với hàm lượng carbohydrate là 3,38±0,05% đối với P. monodon và Gunalan và cộng sự, 2013 đã báo cáo hàm lượng carbohydrate là 3,2 ± 0,3% đối với P. vannamei. Tuy nhiên, kết quả của nghiên cứu này mâu thuẫn với kết quả của Abdel-Salam (2013) với thành phần carbohydrate từ 1,89 đến 1,91% ở P. indicus nuôi.
Tro là chỉ tiêu về khoáng chất trong thịt tôm, độ tro càng cao thì hàm lượng khoáng chất, đặc biệt là canxi càng cao. Trong nghiên cứu này, hàm lượng tro ít nhiều giống nhau giữa các nghiệm thức, với mức độ xử lý cao thể hiện giá trị cao hơn một chút, cho thấy tác động của CA trong thành phần khoáng chất.
CA chứa tro lên tới 7,45 mg/g (Gokulakrishnan và cộng sự, 2015). Giá trị của tro được báo cáo trong cuộc điều tra này mâu thuẫn với kết quả của Islam và cộng sự (2017) đã báo cáo độ tro là 0,87 ± 0,06% và G. Reddy và cộng sự (2008) tro là 9,09%, nhưng giống với báo cáo của Ali và cộng sự (2017) ở P. monodon. Ngược lại, thành phần phốt pho vẫn hơi ổn định ở các mức thay thế, tương tự như báo cáo của Abdel-Salam (2013), với hàm lượng lên tới 74,32 ± 1,99 và 75,45 ± 1. 78 mg/100g đối với tôm đực và tôm cái P. indicus nuôi. Tuy nhiên, hàm lượng canxi (45,09 ± 1,30 và 39,96 ± 2,20 mg/100g) được báo cáo trái ngược với hàm lượng canxi quan sát được trong nghiên cứu này.
Hàm lượng chất xơ thay đổi theo mức thay thế nhưng tăng theo mức độ đưa vào, rất có thể là do hàm lượng CA cao lên tới 21% (Tsutsui và cộng sự, 2015). Ngoài ra, dầu thô được tìm thấy trong nghiên cứu này tương tự như báo cáo của Liu và cộng sự (2021), nhưng khác với 8,2% chất xơ thô ở P. indicus (Ravichandran và cộng sự, 2009).
Trong nghiên cứu này, tất cả các nghiệm thức đều có hàm lượng lipid dưới 5%, tương tự như giá trị lipid (4,72±0,11%) (Pratap và cộng sự, 2018) đối với loài P. monodon đánh bắt ngoài tự nhiên. Nồng độ lipid giảm khi tăng mức thay thế trong nghiên cứu này do hàm lượng chất béo trong tảo thấp, khoảng 0,83 – 1% (Gazali và cộng sự, 2019). Theo Abulude và cộng sự (2006), thành phần lipid của tôm hoang dã dao động trong khoảng từ 5,0 đến 9,0%, cao hơn đáng kể so với báo cáo của Pombal và cộng sự (2017) giá trị lần lượt là 1,70% và 2,69% đối với P. monodon tự nhiên và nuôi.
Các axit béo đã được chứng minh là bị ảnh hưởng bởi sự thay thế một phần FM. Ở mức độ thay thế thấp, SFA rất nhiều, trong khi PUFA có nhiều ở mức độ thay thế cao. Mức MUFA ít nhiều giống nhau ở các mức thay thế. Những phát hiện này phù hợp với Banu và cộng sự (2016) khi PUFA chiếm ưu thế hơn SFA và MUFA trong các mô cơ tôm. Thực phẩm có nhiều chất béo không bão hòa thường được ưa thích hơn thực phẩm có nhiều chất béo bão hòa, do có thể tăng mức cholesterol trong cơ thể (Shalini và cộng sự, 2013). Tiêu thụ PUFA có thể làm giảm nguy cơ mắc bệnh tim mạch vành, tiểu đường và ung thư do sự hiện diện của axit eicosapentaenoic và axit docosahexaenoic có cả tác dụng chống xơ vữa động mạch và chống huyết khối cũng như vai trò quan trọng trong việc kiểm soát tăng huyết áp và ngăn ngừa rối loạn nhịp tim (Murphy và cộng sự, 2012; Siri-Tarino và cộng sự, 2010).
Kết Luận
Nghiên cứu này đánh giá tác động của việc thay thế bột cá (FM) bằng tảo Chaetomorpha (CA) ở các mức độ khác nhau (0%, 10%, 20% và 30%) cho thấy Tỷ lệ sống, khả năng sử dụng thức ăn, thành phần sinh hóa và hàm lượng axit béo của tôm sú bị ảnh hưởng bởi mức độ thay thế FM bằng CA. Việc thay thế FM bằng CA ở mức độ bao gồm 20 và 30% mang lại kết quả gần giống nhau. Tuy nhiên, thay thế 30% FM có tác động tiêu cực đến tỷ lệ sống và thể hiện lượng axit béo bão hòa tương đối cao. Như vậy, ở mức thay thế 20%, CA phù hợp để thay thế một phần FM trong khẩu phần ăn cho P. monodon. Việc thay thế FM 20% cũng phù hợp khi cơ tôm có hàm lượng axit béo bão hòa thấp được quan tâm.
Theo Ambakisye Poland Simtoe, Siwema Amran Luvanga, Blandina Robert Lugendo
Biên dịch: Nguyễn Thị Quyên – Bình Minh Capital
Xem thêm:
- Ảnh Hưởng Của Tỷ Lệ C:N Đến Chất Lượng Nước Và Các Thông Số Sản Xuất Tôm Trong Mô Hình Nuôi Tôm Penaeus monodon Hạn Chế Thay Nước Sử Dụng Mật Đường Làm Nguồn Carbon
- Các Nhà Sản Xuất Ở Indonesia Chuyển Sang Công Nghệ Di Truyền Để Tăng Cường Chương Trình Nhân Giống Tôm
- Probiotic Lactobacillus pentosus BD6 Thúc Đẩy Tăng Trưởng Và Tình Trạng Sức Khỏe Của Tôm Thẻ Chân Trắng Litopenaeus vannamei Qua Đường Miệng
English