Kết quả
Đặc điểm của điều kiện phi sinh học và thành phần nước chảy vào
Các giá trị trung bình của các điều kiện và thành phần phi sinh học trong nước chảy vào được theo dõi trong quá trình thí nghiệm được tóm tắt trong Bảng 1. Chất hữu cơ dạng hạt (POM) và nitơ vô cơ hòa tan và phốt pho (DIN và DIP) được theo dõi trong nước chảy vào chiếm 75% tổng lượng chất dạng hạt lơ lửng (SPM), 70–75% tổng nitơ (TN) và 75–85% tổng lượng phốt pho (TP). Trong thử nghiệm nuôi ghép kết hợp polychaetes và halophyte (60 ngày), ước tính mỗi bể lọc được 490 L nước thải, chứa ≈ 5,6 g POM, 5,5 g TN (74% DIN) và 1,1 g TP (84% DIP). Trong giai đoạn thứ hai (60–120 ngày), nơi chỉ nuôi polychaetes, ước tính mỗi bể lọc 462 L nước thải, chứa ≈ 5,4 g POM, 6,9 g TN (74% DIN) và 1,4 g TP (75% DIP).
Xử lý sinh học các chất hữu cơ dạng hạt (POM) và tạo ra sinh khối polychaetes
Nồng độ POM được định lượng trong nước chảy vào và chảy ra của thiết kế IMTA khác nhau không khác biệt đáng kể với hiệu suất lưu giữ từ 84 đến 87%.
Nồng độ OM trong chất nền của các bộ lọc cát hỗ trợ polychaetes (PASF) được thả cùng với A. marina và H. diversicolor được hiển thị trong Hình 2. 2a, b. Không có sự khác biệt đáng kể giữa các nghiệm thức được tìm thấy trong hàm lượng OM được theo dõi ở lớp 20 mm hàng đầu (Tukey HSD hậu hoc, p > 0,05) và các lớp nền 20–100 mm (ANOVA hai chiều, p > 0,05), với các giá trị nằm trong khoảng 0,25 –0,34 và 0,27–0,30% LOI.
Các giá trị trung bình (± SD) của sinh khối và mật độ của A. marina và H. diversicolor được xác định khi kết thúc thí nghiệm được hiển thị trong Bảng 2. A. marina có tỷ lệ chết cao (90-95%), cho thấy loài giun nhièu tơ này không thích nghi tốt với điều kiện thí nghiệm. H. diversicolor có mật độ cuối cùng cao hơn đáng kể A. marina thu với mật độ cuối cùng là ≈ 14–15 lần so với giá trị ban đầu. Sinh khối của H. diversicolor cao hơn đáng kể so với sinh khối do A. marina tạo ra độc lập với thiết kế vận hành được thử nghiệm (Tukey HSD post-hoc, p < 0,05). Giữa các thiết kế 1T và 2 T thả cùng một loài polychaete, không có sự khác biệt đáng kể nào được tìm thấy về sinh khối được tạo ra (Tukey HSD post-hoc, p > 0,05).
Bảng 1. Các điều kiện phi sinh học (pH, oxy, nhiệt độ và độ mặn) và thành phần [chất hạt lơ lửng (SPM), chất hữu cơ dạng hạt (POM; %LOI trong SPM), tổng nitơ (TN), tổng phốt pho (TP), vô cơ hòa tan nitơ (DIN) và phốt pho (DIP)] được đo trong nước chảy vào. Giá trị trung bình ± SD (n = 5).


Hình 1. Chất hữu cơ dạng hạt (POM) được định lượng trong dòng chảy vào và dòng chảy ra của thiết kế IMTA được thử nghiệm trong nghiên cứu này bằng cách sử dụng các loài chiết xuất polychaetes (Arenicola marina—Amar—và Hediste diversicolor—Hdiv) và halophytes (Salicornia ramosissima—Sram) được nuôi cấy trong cùng một bể (1 T) hoặc trong hai bể riêng biệt (2 T). Giá trị trung bình ± SD (n = 5). Phân tích thống kê chỉ được thực hiện sau 120 ngày khi đánh giá sinh khối của các loài khai thác. Không có sự khác biệt đáng kể (p < 0,05) giữa các thiết kế IMTA được quan sát.

Hình 2. Hàm lượng chất hữu cơ (OM) được xác định trong các lớp nền 20 mm và 20–100 mm trên cùng của các thiết kế IMTA được thử nghiệm trong nghiên cứu này bằng cách sử dụng các loài polychaetes chiết xuất (Arenicola marina—Amar— và Hediste diversicolor—Hdiv) và halophytes (Salicornia ramosissima—Sram) được nuôi trong cùng một bể (1 T) hoặc trong hai bể riêng biệt (2 T). Giá trị trung bình ± SD (n = 5). Không có sự khác biệt đáng kể (p < 0,05) giữa các thiết kế IMTA được quan sát.
Bảng 2. Mật độ và tổng sinh khối của giun nhiều tơ (Arenicola marina—Amar—và Hediste diversicolor—Hdiv) được nuôi trong cùng bể với halophytes (Salicornia ramosissima—Sram) (1 T) hoặc trong hai bể riêng biệt (2 T) ở ngày thứ 120 Giá trị trung bình ± SD (n = 5). Các chữ cái khác nhau biểu thị sự khác biệt đáng kể (p < 0,05) giữa các thiết kế IMTA. Các giá trị trong ngoặc biểu thị sinh khối trọng lượng khô.


Hình 3. Con non Hediste diversicolor được tạo ra sau 120 ngày nuôi cấy.

Hình 4. Nitơ vô cơ hòa tan (DIN) được định lượng trong dòng chảy vào và dòng ra của các thiết kế IMTA được thử nghiệm trong nghiên cứu này bằng cách sử dụng các loài chiết xuất polychaetes (Arenicola marina—Amar—và Hediste diversicolor—Hdiv) và halophytes (Salicornia ramosissima—Sram) được nuôi cấy trong cùng một bể (1 T) hoặc trong hai bể riêng biệt (2 T). Giá trị trung bình ± SD (n = 5). Phân tích thống kê chỉ được thực hiện trong khoảng thời gian 120 ngày khi sinh khối được đánh giá. Các chữ cái khác nhau biểu thị sự khác biệt đáng kể (p < 0,05) giữa các thiết kế IMTA.
Chiết xuất nitơ vô cơ hòa tan và phốt pho (tương ứng là DIN và DIP) và tạo ra sinh khối Salicornia ramosissima.
Nồng độ DIN và DIP được theo dõi trong dòng chảy vào và dòng ra của thiết kế IMTA 1 T và 2 T chứa Amar + Sram và Hdiv + Sram vào ngày 60 được hiển thị trong Hình 4 và 5. Nồng độ DIN được giám sát trong nước chảy ra của 2 T Hdiv + Sram thấp hơn đáng kể so với nồng độ được thể hiện bởi 1 T Hdiv + Sram (Post-hoc Tukey HSD, p < 0,05), trong khi giữa các thiết kế IMTA còn lại không tìm thấy sự khác biệt đáng kể (Post-hoc Tukey HSD, p < 0,05). Không tìm thấy sự khác biệt đáng kể về nồng độ DIP đo được trong nước chảy ra của các thiết kế IMTA khác nhau (ANOVA hai chiều, p > 0,05). Hiệu suất xử lý sinh học lần lượt là 48–66% và 52–56% đối với dòng DIN và DIP.
Trọng lượng trung bình của S. ramosissima được nuôi cấy theo các thiết kế IMTA khác nhau thả Amar + Sram và Hdiv + Sram được hiển thị trong Hình 6. Vào ngày thứ 60, các cây được trồng trên các thiết kế 1 T cho thấy trọng lượng trung bình cao hơn đáng kể (≈ 2 lần), cao hơn so với những kết quả được báo cáo trong 2 thiết kế T độc lập với các loài polychaete được thả nuôi (Tukey HSD hậu hoc, p < 0,05). Bảng 3 tóm tắt các giá trị trung bình (± SD) của mật độ và tổng sinh khối được báo cáo vào ngày thứ 60. Trong giai đoạn này, 36–40% và 44–56% số cây ban đầu được trồng ở cả hai thiết kế IMTA 1 T và 2 T bước vào giai đoạn già hóa và tương ứng được coi là không khả thi đối với tài khoản sinh khối. Không có sự khác biệt đáng kể nào được xác minh về mật độ cây cuối cùng được báo cáo trong thiết kế 1 T và 2 T. Tổng sinh khối thực vật và sinh khối vốn có trên mặt đất được tạo ra bởi cả hai thiết kế 1 T cao hơn đáng kể so với thiết kế được báo cáo trong 2 T, ngoại trừ giữa 2 T Hdiv + Sram và 1 T Amar + Sram. Sinh khối dưới mặt đất được tạo ra cao hơn trong các thiết kế 1 T, với các giá trị thu được trong 1 T Amar + Sram cao hơn đáng kể so với các giá trị thu được trong 2 T Amar + Sram (Tukey HSD hậu hoc, p < 0,05). Sinh khối cuối cùng được báo cáo trong thiết kế 1 T và 2 T lần lượt cao hơn ≈ 4,0–5,1 và 1,9–2,5 lần so với giá trị thả giống ban đầu. Sinh khối trọng lượng tươi trên mặt đất (FW) chiếm 70–80% tổng sinh khối thực vật được sản xuất, trong khi sinh khối trọng lượng khô (DW) của chúng tương ứng với khoảng 8% giá trị FW. Cây có màu hơi vàng trong nghiên cứu (Hình 7a–c) có dấu hiệu của giai đoạn già hóa.

Hình 5. Định lượng phốt pho vô cơ hòa tan (DIP) trong nước thải vào và ra của các thiết kế IMTA được thử nghiệm sử dụng các loài chiết xuất polychaetes (Arenicola marina—Amar—và Hediste diversicolor— Hdiv) và halophytes (Salicornia ramosissima—Sram) được nuôi trong cùng một bể (1 T) hoặc trong hai bể riêng biệt (2 T). Giá trị trung bình ± SD (n = 5). Phân tích thống kê chỉ được thực hiện sau 120 ngày khi đánh giá sinh khối của các loài khai thác. Không có sự khác biệt đáng kể (p < 0,05) giữa các thiết kế IMTA được quan sát.

Hình 6. Trọng lượng tươi của Salicornia ramosissima (Sram) ở ngày thứ 1 và ngày thứ 60 được nuôi trong cùng một bể (1 T) hoặc trong hai bể riêng biệt (2 T) so với giun nhiều tơ (Arenicola marina—Amar—và Hediste diversicolor—Hdiv). Trung bình ± SD (n = 5). Các chữ cái khác nhau trong mỗi khoảng thời gian cho thấy sự khác biệt đáng kể (p < 0,05) giữa các thiết kế IMTA.
Bảng 3. Mật độ cuối cùng, tổng sinh khối trọng lượng tươi thực vật, sinh khối trọng lượng tươi trên mặt đất và dưới mặt đất của loài halophytes (Salicornia ramosissima—Sram) được nuôi trong cùng một bể (1 T) hoặc trong các bể riêng biệt (2 T) với giun nhiều tơ (Arenicola marina—Amar —và Hediste diversicolor—Hdiv) ở ngày thứ 60. Giá trị trung bình ± SD (n = 5). Các chữ cái khác nhau biểu thị sự khác biệt đáng kể (p < 0,05) giữa các thiết kế IMTA. Các giá trị trong ngoặc biểu thị sinh khối trọng lượng khô.


Hình 7. Sự phát triển màu sắc của Salicornia ramosissima trong thời gian thí nghiệm: (a) cây ở ngày thứ 1; (b) cây vào ngày thứ 30 và (c) cây vào ngày thứ 60.
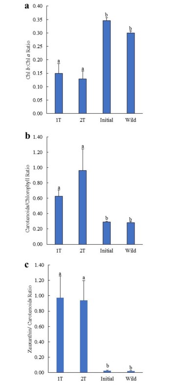
Đặc điểm sắc tố của Salicornia ramosissima được nuôi cấy theo thiết kế IMTA 1 T và 2 T. Các sắc tố được ghi nhận ở S. ramosissima ban đầu được thả, nuôi cấy và thu thập từ tự nhiên là các carotenoid 9′-cis-neoxanthin, violaxanthin, antheraxanthin, lutein, zeaxanthin và β, β-carotene và chlophyll a và b (Chl a và Chl b) (Bảng 4). Các giá trị trung bình (± SD) của nồng độ sắc tố được xác định trong S. ramosissima được nuôi cấy theo thiết kế IMTA 1 T và 2 T, cũng như đặc điểm của các cây thả giống ban đầu và các loài hoang dã cùng loài được trình bày trong Bảng 5. Nồng độ 9′-cis- neoxanthin, violaxanthin, lutein, β,β-carotene, Chl a và b cao hơn đáng kể khi thả giống ban đầu và cây hoang dã so với cây được nuôi dưới 1 T và 2 T. Mặt khác, nồng độ zeaxanthin cao hơn đáng kể đã được quan sát thấy ở thực vật được nuôi dưới 1 T và 2 T khi so sánh với thực vật thả giống ban đầu và thực vật hoang dã. Không có sự khác biệt đáng kể về thành phần sắc tố được xác nhận giữa các cây được nuôi theo thiết kế 1 T và 2 T. Tỷ lệ Chl b/Chl a của cây trồng thấp hơn so với cây được thả ban đầu và cùng loài hoang dã (thấp hơn 2 lần), trong khi tỷ lệ tổng carotenoid/diệp lục và zeaxanthin/carotenoid cao hơn (≈ 2,2–3,4 và 36–46 lần) (Hình 8a-c). Sự khác biệt đáng kể được tìm thấy ở các tỷ lệ nêu trên giữa cây trồng, cây thả giống ban đầu và cây cùng loài hoang dã.
Thảo luận
Nghiên cứu này nhằm so sánh hiệu suất xử lý sinh học và sản xuất sinh khối thông qua nuôi cấy kết hợp giữa A. marina và S. ramosissima (Amar + Sram) và H. diversicolor và S. ramosissima (Hdiv + Sram) bằng cách sử dụng một bể nuôi ghép đơn (1 T) và hai bể riêng biệt cấp dinh dưỡng (2 T), IMTA thiết kế với diện tích hoạt động khác nhau (tương ứng là 0,3 và 0,6 m2). Thí nghiệm được thực hiện ngoài trời và độ biến thiên lớn đã được xác minh đối với độ mặn và nhiệt độ nước (khoảng 12–20 g muối/ L, 16–28 °C), trong khi các giá trị pH và oxy hòa tan (DO) ổn định hơn là được báo cáo (lần lượt là 8,1–8,4 và 6,8–9,5 mg/ L). Mặc dù có sự thay đổi, tất cả các thông số này đều nằm trong phạm vi giá trị được theo dõi trong các bể nước và vùng thủy triều của đầm phá ven biển Aveiro được sử dụng trong nghiên cứu này.
Bảng 4. Danh sách các sắc tố phát hiện được trong halophytes (Salicornia ramosissima) với thời gian lưu và thời gian hấp thụ trung bình (λ max).

Bảng 5. Nồng độ sắc tố (µg/ g sinh khối DW) được ghi nhận trong halophytes (Salicornia ramosissima) được nuôi trong cùng một bể (1 T) hoặc trong các bể riêng biệt (2 T) với polychaetes (Arenicola marina— Amar— và Hediste diversicolor— Hdiv), cũng như các loài thực vật ban đầu được thả giống từ tự nhiên. Giá trị trung bình ± SD (n = 5). Các chữ cái khác nhau biểu thị sự khác biệt đáng kể (p < 0,05) giữa các mẫu.

Cả hai thiết kế IMTA 1 T và 2 T đều có hiệu suất xử lý sinh học cao, với hiệu suất lưu giữ từ 74 đến 87% POM, 56 đến 64% DIN và 60 đến 65% DIP. Lớp cát của PASF đóng một vai trò rất quan trọng bằng cách giữ lại và duy trì OM để duy trì sự phát triển của giun nhiều tơ, trong khi các sinh vật này thúc đẩy quá trình xáo trộn sinh học (tái hoạt động trầm tích và tưới sinh học, cho phép oxy hòa tan tiếp cận các lớp sâu hơn của chất nền), giúp tránh tắc nghẽn hệ thống và duy trì sự thấm của nước qua lớp cát. Hiệu suất xử lý sinh học của các thiết kế IMTA giảm khi tỷ lệ tử vong của giun nhiều tơ tăng lên. Trong nghiên cứu này, tỷ lệ tử vong của loài giun nhiều tơ A. marina rất cao, lên tới 90%. Điều này có thể do nhiệt độ nước cao hơn mức tối ưu cho loài này. Ngoài ra, nhiệt độ nước là một yếu tố quan trọng ảnh hưởng đến khả năng sống sót và tăng trưởng của giun nhiều tơ. Các nghiên cứu trước đây đã chỉ ra rằng nhiệt độ nước trên 20°C có thể làm suy giảm khả năng nuôi thành công của loài A. marina.

Hình 8. Tỷ lệ diệp lục b:chlorophyll a (Chl b/Chl a), tổng carotenoid/diệp lục và tỷ lệ zeaxanthin/carotenoid đo được ở cá Salicornia ramosissima nuôi trong cùng một bể (1 T) hoặc trong hai bể riêng biệt (2 T) so với cá polychaetes (Arenicola marina và Hediste diversicolor). Giá trị trung bình ± SD (n = 5). Các chữ cái khác nhau biểu thị sự khác biệt đáng kể (p < 0,05) giữa các mẫu.
Mật độ cuối cùng của H. diversicolor trong các thiết kế IMTA 1 T và 2 T gấp khoảng 15 lần mật độ thả giống ban đầu (mật độ cuối cùng ≈ 4000–5000 ind./ m2). Sinh khối FW của H. diversicolor ở cuối thí nghiệm thấp hơn giá trị có ở lúc bắt đầu thí nghiệm, nhưng điều này là do các mẫu vật ở cuối thí nghiệm tương ứng với một quần thể cá con mới được tạo ra, mới bắt đầu phát triển và chưa đạt được kích thước thương mại. Trong một nghiên cứu được thực hiện trong khoảng thời gian dài hơn (≈ 150 ngày), các kết quả tương tự với kết quả được ghi lại trong nghiên cứu hiện tại đã thu được về mức tăng mật độ giun nhiều tơ, từ ≈ 400 đến 7000 ind./ m2, trong PASF được thả H. diversicolor được cung cấp nước thải giàu hữu cơ được tạo ra bởi RAS thương mại siêu thâm canh sản xuất Solea senegalensis. Nghiên cứu của các nhà khoa học đã chứng minh tiềm năng của giun nhiều tơ Hediste diversicolor trong việc ứng dụng trong hệ thống IMTA. Giun này có khả năng sinh trưởng và phát triển nhanh chóng, có thể xử lý các chất thải hữu cơ trong nước thải, góp phần giảm thiểu ô nhiễm môi trường và nâng cao hiệu quả kinh tế của hệ thống IMTA.
Liên quan đến hiệu suất tăng trưởng của halophytes, trọng lượng trung bình cao hơn đáng kể (cao hơn 2 lần) đã được báo cáo đối với cây được nuôi theo thiết kế 1 T, độc lập với các loài polychaete được thả giống. Tổng sinh khối được báo cáo ở thiết kế 1 T và 2 T sau 60 ngày thử nghiệm chiếm 5–5,7 và 1,7–2,4 lần so với sinh khối thả ban đầu tương ứng với ≈ 150–170 và 60–90 g/ m2. Các giá trị này thấp hơn so với giá trị thu được trong các nghiên cứu trước, nhưng vẫn có giá trị thương mại. Tuy nhiên, điều kiện nuôi cấy làm suy giảm sự phát triển của S. ramosissima. Trong thử nghiệm thời gian đầu, thực vật bắt đầu phát triển màu hơi vàng, thậm chí một số còn có dấu hiệu già hóa rõ rệt. Vào cuối giai đoạn thử nghiệm, khoảng 40 đến 60% số cây không còn khả năng sống sót. Sự phát triển của màu hơi vàng rất có thể liên quan đến việc thiếu sắt, vì tất cả nước mặn được sử dụng trong hệ thống nuôi tôm và thiết kế RAS-IMTA đều được bơm từ lỗ khoan và xử lý trước thông qua quá trình oxy hóa hóa học. Quá trình xử lý này thúc đẩy quá trình kết tủa và loại bỏ sắt, cùng với các nguyên tố khác như Mg, P, Ca và Mn. Một lời giải thích khác cho màu hơi vàng và sự già hóa sớm có thể liên quan đến thực tế là nước giàu dinh dưỡng được sử dụng trong nghiên cứu này được lưu trữ trong 3 ngày trong bể chứa không có sục khí (máy bơm chìm chỉ trộn nước 5 phút mỗi giờ). Những điều kiện này có thể đã tạo điều kiện thuận lợi cho việc sản sinh ra các khí độc, chẳng hạn như hydro sunfua (H2S), khí này trong thực vật đã được chứng minh là có vai trò quan trọng trong việc điều hòa sự sinh trưởng, phát triển và lão hóa của thực vật. Cây được nuôi cấy trong thiết kế IMTA 1 T và 2 T thể hiện hàm lượng chl a, b và tổng số carotenoids thấp hơn (lần lượt là ≈ 124–166, 16–26 và 118–128 µg/ g DW sinh khối) so với cây được ghi nhận khi chúng ban đầu được thả giống, cũng như các loài cùng loài từ tự nhiên (≈ 1912–1695, 508–661 và 625–749 µg/ g sinh khối DW). Hàm lượng sắc tố giảm cũng có thể là do việc sử dụng nước giếng khoan đã được xử lý trước bằng quá trình oxy hóa hóa học. Tuy nhiên, mức zeaxanthin được định lượng cao hơn ở thực vật nuôi cấy có lẽ là kết quả của việc kích hoạt chu trình violaxanthin, một chu trình gồm hai bước trong đó violaxanthin được chuyển đổi đầu tiên thành antheraxanthin và sắc tố sau được chuyển đổi thành zeaxanthin. Việc kích hoạt chu trình này có tính chất bảo vệ quang học và được kích hoạt bởi cường độ ánh sáng cao, nhưng nó cũng có thể được kích hoạt bởi các yếu tố gây căng thẳng phi sinh học khác (ví dụ như thiếu oxy và nhiệt độ cao). Mặt khác, hàm lượng zeaxanthin cao này đáng được nghiên cứu thêm vì carotenoid này đóng một vai trò quan trọng trong việc ngăn ngừa các bệnh về mắt liên quan đến tuổi tác. Halophytes thể hiện mức độ zeaxanthin được tăng cường có thể có giá trị cao hơn trên thị trường thực phẩm chức năng.
Nhìn chung, thiết kế thử nghiệm 1 T thể hiện hiệu suất tốt nhất (nghĩa là hiệu suất xử lý sinh học và polychaetes tương tự và năng suất halophyte tốt nhất). Hơn nữa, nó cũng cho phép giảm một nửa diện tích hoạt động cần thiết. Nghiên cứu này cũng cho thấy những việc nuôi cấy một số loài khai thác ngoài trời có thể do các điều kiện phi sinh học, chẳng hạn như nhiệt độ nước. Trong nghiên cứu này, nhiệt độ nước không được kiểm soát, điều này đã làm giảm khả năng sinh sản của polychaete A. marina. Mặt khác, nghiên cứu cũng cho thấy nước thải từ hệ thống nuôi sử dụng nước ngầm lợ đã được xử lý để loại bỏ sắt thông qua quá trình oxy hóa hóa học và lọc cát nhanh có thể làm giảm việc sử dụng một số loài chiết xuất cho IMTA. Việc thiếu sắt (và cuối cùng là các nguyên tố vi lượng khác bị loại bỏ trong quá trình oxy hóa hóa học và lọc cát nhanh) có thể cản trở quá trình sản xuất thành công cây S. ramosissima và các cây chịu mặn có giá trị khác.
Theo Daniel Jerónimo, Ana Isabel Lillebø, Javier Cremades, Paulo Cartaxana1 & Ricardo Calado
Biên dịch: Nguyễn Thị Quyên – Bình Minh Capital
Xem thêm:
- Dự Án Sử Dụng Cảm Biến Sinh Học Chi Phí Thấp Để Phát Hiện Mầm Bệnh
- Sản Xuất Tôm Thẻ Chân Trắng Ở Trung Quốc
- Việc Sử Dụng Probiotic Bản Địa Halomonas aquamarina Và Tảo Shewanella Để Nâng Cao Năng Suất Ương Nuôi Tôm Thẻ Chân Trắng (Litopenaeus vannamei) Trong Hệ Thống Không Thay Nước
English