Việc bổ sung thực vật phù du và luân trùng siêu nhỏ có thể cải thiện hiệu suất của ấu trùng

Việc bổ sung tảo cát (Navicula sp.) và luân trùng (B. plicatilis) vào bể nuôi ấu trùng cứ 5 ngày một lần sẽ cung cấp nguồn thức ăn tự nhiên quan trọng cho tôm trong giai đoạn đầu của chúng trong hệ thống biofloc.
Trong hệ thống nuôi tôm, cộng đồng vi sinh vật đóng vai trò quan trọng trong việc tái chế chất dinh dưỡng, giảm diện tích thiếu khí trong ao nuôi và giảm tải lượng chất dinh dưỡng có trong nước thải, đồng thời cung cấp thêm nguồn dinh dưỡng cho tôm nuôi trong hệ thống bán thâm canh và thâm canh.
Việc sử dụng sinh vật phù du trong các hệ thống nuôi tôm thâm canh mang lại hiệu suất tốt hơn cho các sinh vật nuôi, vì chúng cải thiện hàm lượng axit amin thiết yếu và axit béo không bão hòa cao trong các mô của tôm nuôi.
Thiết lập nghiên cứu
Nghiên cứu này được thực hiện tại Phòng thí nghiệm Nuôi trồng Hải sản Bền vững thuộc Khoa Nghề cá và Nuôi trồng Thủy sản của Đại học Nông nghiệp Liên bang, Pernambuco, Recife, Brazil, để đánh giá năng suất của tôm trong hệ thống biofloc có bổ sung tảo cát (Navicula sp.) và luân trùng (Brachionus plicatalis ).
Trong suốt thời gian thí nghiệm, đèn huỳnh quang được sử dụng để tạo cường độ ánh sáng khoảng 1.000 lux có quang kỳ tự nhiên. Không thay nước trong suốt thời gian thử nghiệm, chỉ bổ sung nước ngọt đã khử clo để bù cho lượng nước đã bay hơi.
Mật đường được thêm vào hàng ngày như một nguồn carbon để duy trì tỷ lệ C:N ở mức 12:1. Vôi tôi được sử dụng để duy trì độ kiềm trên 100 mg/L và độ pH là 7,5. Tôm thử nghiệm được cho ăn hàng ngày bằng thức ăn tôm thương mại (40% protein thô) và khẩu phần ăn được điều chỉnh hàng ngày dựa trên mức tiêu thụ ước tính của tôm, tỷ lệ chết và lượng thức ăn thừa.

Nghiên cứu đã thử nghiệm tác động đối với ấu trùng tôm thẻ chân trắng của việc bổ sung tảo cát Navicula sp. (cả hai thử nghiệm) và luân trùng B. plicatilis (thử nghiệm thứ hai) vào hệ thống ương tôm biofloc.
Thử nghiệm đầu tiên – bổ sung tảo cát
Thí nghiệm được tiến hành nhằm đánh giá năng suất của tôm post Litopenaeus vannamei được nuôi 20 ngày trong hệ thống biofloc với việc bổ sung tảo cát Navicula sp. Tôm (17,7±0,02 mg) được thả với mật độ 2.500 con/m3 trong các đơn vị thí nghiệm. Tảo cát được bổ sung với nồng độ 5 x 104/mL vào bể nuôi vào các ngày 1, 5, 10 và 15.
Trước khi thả tôm 5 ngày, nước từ bể matrix (tổng nitơ amoniac 0,12 mg/L, nitơ nitrit 2,2 mg/L, độ kiềm 100 mg canxi cacbonat/L và chất rắn lắng 27 mL/L) được trộn và sử dụng để đổ đầy 12 bể nhựa đen (kích thước có thể sử dụng là 50x35x23 cm, tương đương với thể tích 40L) đến khoảng 50% thể tích và phần còn lại chứa đầy nước biển.
Thử nghiệm thứ hai – bổ sung tảo cát và luân trùng
Thí nghiệm thứ 2 được tiến hành nhằm đánh giá năng suất của tôm post Litopenaeus vannamei được nuôi 35 ngày trong hệ thống biofloc có bổ sung tảo cát Navicula sp. và luân trùng (B. plicatilis). Tôm (16,2±0,03 mg) được thả với mật độ 2.500 con/m3 trong các đơn vị thí nghiệm. Tảo cát (ở nồng độ 5×104/mL) và luân trùng (ở nồng độ 30 luân trùng/mL) được bổ sung vào bể nuôi vào các ngày 1, 5, 10, 15, 20, 25 và 30.
Trước khi thả tôm 5 ngày, nước từ bể matrix (tổng nitơ amoniac 0,2 mg/L, nitơ nitrit 0,5 mg/L, nitơ nitrat 2,2 mg/L, độ kiềm 134,7 mg canxi cacbonat/L và tổng chất rắn lơ lửng là 206 mg/L) được trộn và phân bổ đều để đổ đầy 12 bể nhựa đen (kích thước hữu ích là 50x35x23 cm, tương đương với 40L).
Kết quả
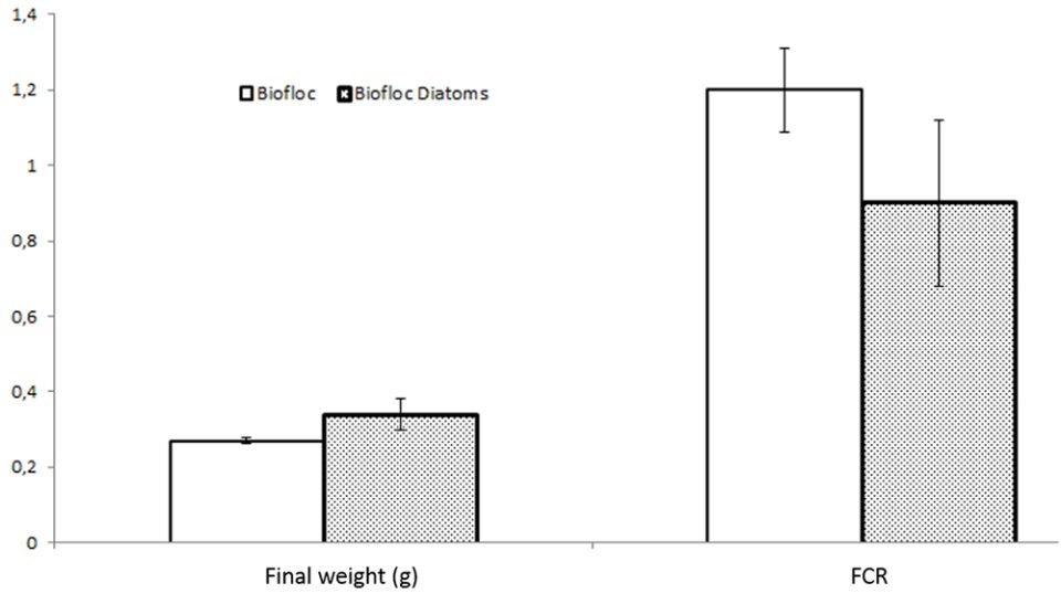
Trong thử nghiệm đầu tiên, tỷ lệ sống của tôm đều trên 87% trong suốt 20 ngày thử nghiệm. Tỷ lệ chuyển đổi thức ăn (FCR) là 0,9 và trọng lượng cuối cùng là 0,34 g của tôm trong các bể có bổ sung tảo cát tốt hơn đáng kể (P <0,05) so với tôm trong các bể không bổ sung tảo cát (1,2 FCR; trọng lượng cuối cùng 0,27 g).
Trong thử nghiệm thứ hai, tỷ lệ sống của tôm đều trên 70% trong các bể không bổ sung tảo cát và luân trùng, và 85 đến 91% trong các bể có bổ sung. Trọng lượng cuối cùng của tôm trong các bể có bổ sung tảo cát và luân trùng dao động từ 0,81-1,08 g và 0,68g trong các bể không bổ sung. Tôm nhận tảo cát và luân trùng có FCR dao động từ 0,92-1,37 và tôm trong bể không bổ sung có FCR là 1,94.

Hình 1: Các thông số về năng suất của tôm thẻ chân trắng L. vannamei được nuôi trong hệ thống biofloc ương có và không bổ sung tảo cát Navicula sp.
Tác động tích cực của việc bổ sung tảo cát và luân trùng đối với các thông số năng suất của tôm cho thấy rằng Navicula sp. và B. plicatilis đóng vai trò là nguồn thức ăn tự nhiên cho tôm post L. vannamei trong các hệ thống biofloc. Chúng có thể cung cấp các chất dinh dưỡng quan trọng như axit amin thiết yếu và axit béo không bão hòa cao mà tôm cần thiết cho sự sống và tăng trưởng.

Hình 2: Các thông số về năng suất của tôm thẻ chân trắng L. vannamei nuôi trong hệ thống biofloc ương có và không bổ sung tảo cát Navicula sp. Và luân trùng B. plicatilis.
Thảo luận
Kết quả nghiên cứu của chúng tôi cho thấy việc bổ sung tảo cát (Navicula sp.) và luân trùng (B. plicatilis) vào bể nuôi ấu trùng cứ 5 ngày một lần sẽ cung cấp nguồn thức ăn tự nhiên đáng kể cho tôm trong giai đoạn đầu của chúng trong hệ thống biofloc.
Theo Luis Otavio Brito da Silva, Jéssika Lima de Abreu, Clarissa Vilela Figueiredo da Silva Campos, Yllana Ferreira Marinho, Marcele Trajano de Araújo, Alfredo Olivera Gálvez.
Nguồn: https://www.globalseafood.org/advocate/rotifers-diatoms-aid-shrimp-biofloc-nurseries/
Biên dịch: Nguyễn Thị Quyên – Bình Minh Capital
Xem thêm:
Phần 1 – Nghiên Cứu Về Hoạt Động Kiếm Ăn Của Tôm Thẻ Chân Trắng Dựa Trên Phát Hiện Âm Thanh Thụ Động
Phần 2 – Nghiên Cứu Về Hoạt Động Kiếm Ăn Của Tôm Thẻ Chân Trắng Dựa Trên Phát Hiện Âm Thanh Thụ Động
English