Artemia được sử dụng rộng rãi như một trong những nguồn thức ăn sống tốt nhất cho nhiều loài giáp xác nhỏ ở vùng biển và vùng nước ngọt (Yamasaki-Granados và cộng sự 2013). Giờ đây, nó đã trở thành thành phần chính góp phần cho sự phát triển của ngành tôm nước ngọt (Barros & Valenti, 2003).
Trong ba thập kỷ qua, trại sản xuất giống tôm nước ngọt, Aquaculture of Texas, gần Dallas, Texas, đã liên tục sản xuất tôm giống khỏe mạnh, bền vững với tỷ lệ sống cao hơn nhờ vào sử dụng ấu trùng Artemia như một chất bổ sung. Trại sản xuất này phục vụ cho nông dân ở khắp mọi nơi trên toàn quốc. Ngoài ra, nó còn được hỗ trợ và khuyến khích bởi một số trường đại học, bao gồm Đại học Bang Mississippi, Đại học Bang Kentucky, Đại học Tennessee, Đại học Bang Louisiana, Trung tâm Khuyến nông và Nghiên cứu Ven biển MSU, Đại học Georgia, Đại học Kentucky, Đại học Virginia, Công nghệ Virginia và Cao đẳng Cộng đồng Gadsden.
Macrobrachium rosenbergii là một loài tôm nuôi nước ngọt ở Việt Nam, Ấn Độ, Mexico, Thái Lan và Hoa Kỳ. Nó được gọi là scampi hay tôm càng xanh, tăng trưởng mạnh trong điều kiện khí hậu nhiệt đới và cận nhiệt đới (FAO, 2011; New, 2012). Sản lượng tôm càng xanh toàn cầu hàng năm là 2.861 tấn vào cuối năm 1980. Kể từ đó, nghề nuôi tôm càng xanh đã phát triển và lan rộng khắp thế giới, chủ yếu ở Châu Á và Châu Mỹ. Đến năm 2002, sản lượng tôm càng xanh toàn cầu đã tăng hơn 80 lần kể từ năm 1980 (từ 2.861 tấn lên 273.736 tấn) tính đến năm 2019 (FAO, 2021).
M.rosenbergii là loài linh hoạt với khả năng thích nghi với nhiều điều kiện độ mặn và nhiệt độ, ăn tạp và được cho ăn thức ăn viên nhân tạo. M. rosenbergii sinh sản ở vùng nước cửa sông, điều này cần thiết cho sự phát triển của ấu trùng và hậu ấu trùng sau khi nở. Mặc dù có thể thu thập giống tôm từ các nguồn tự nhiên ở một mức độ hạn chế, nhưng vẫn cần có nguồn cung cấp giống ổn định để sản xuất quy mô lớn.
Trong nuôi ấu trùng tôm, giai đoạn đầu của ấu trùng là giai đoạn thách thức nhất, vì chúng phụ thuộc vào nguồn thức ăn sống do hệ thống tiêu hóa của chúng phát triển kém (Agh & Sorgeloos, 2005). Giai đoạn đầu của zoea được cho ăn bằng thực vật phù du và giai đoạn sau đó được cho ăn bằng thức ăn tươi sống như luân trùng và Artemia. Artemia được sử dụng rộng rãi làm thức ăn cho ấu trùng trong các trại giống do giá trị dinh dưỡng, tính ngon miệng, khả năng tiêu hóa, tính linh hoạt, luôn có sẵn, khả năng chịu mặn, có sẵn bào tử lợi khuẩn và thời gian ấp ngắn.
Nguyên liệu và phương pháp
Một nghiên cứu thực tế không có bất kỳ sự lặp lại nào đã được tiến hành tại trại giống Aquaculture of Texas để đánh giá hiệu suất của hậu ấu trùng tôm Macrobrachium rosenbergii được cho ăn và không được cho ăn ấu trùng Artemia trong các giai đoạn phát triển, từ PL1-PL36, đây thường là độ tuổi để thả giống trong ao ương hoặc ao nuôi. Thuật ngữ nauplii trong thử nghiệm này đề cập đến ấu trùng Instar I cực nhỏ mới hình thành, bơi tự do.
Nghiên cứu này được thực hiện với 40.000 hậu ấu trùng M. rosenbergii (PL1) được chia vào hai bể nhựa 1500 gallon (5678,118 L) trong hệ thống nuôi trồng thủy sản tuần hoàn (RAS). Trong đó, một bể được cho ăn thức ăn thương mại không có Artemia, bể còn lại được cho ăn thức ăn thương mại + Artemia với tỷ lệ 25 ấu trùng Artemia/PL. Nhiệt độ được ghi lại hàng ngày và các thông số chất lượng nước, như amoniac, pH, nitrit, nitrat, độ kiềm và độ cứng, được kiểm tra hàng tuần. Khi kết thúc nghiên cứu, tôm được đếm và cân trọng lượng để đánh giá tỷ lệ sống, tốc độ tăng trưởng và tỷ lệ chuyển đổi thức ăn (FCR) cho mỗi nghiệm thức. Các mẫu tôm được thu thập để phân tích thành phần gần đúng, axit amin và axit béo.
Bảng 1. Trọng lượng cơ thể trung bình, tổng sinh khối bể, tỷ lệ sống cuối cùng và tỷ lệ chuyển đổi thức ăn cuối cùng (FCR) của M. rosenbergii PL26 được cho ăn theo chế độ ăn thương mại (Diet) và chế độ ăn thương mại có bổ sung Artemia ở mức 25 nauplii/PL (Diet + Artemia).

Kết quả
Kết quả quan sát thấy tỷ lệ sống, sinh khối, trọng lượng cơ thể trung bình tăng và tỷ lệ chuyển đổi thức ăn (FCR) giảm trong bể được nuôi bằng chế độ ăn có bổ sung Artemia. Cả 2 bể đều có thành phần gần đúng, axit amin và axit béo tương tự nhau trong toàn bộ cơ thể tôm (Bảng 1, Hình 1-6).

Hình 1. Thành phần gần đúng của chế độ ăn được sử dụng cho M. rosenbergii PL26, bao gồm chế độ ăn thương mại và chế độ ăn thương mại có bổ sung Artemia ở mức 25 nauplii/PL.

Hình 2. Thành phần gần đúng (làm cơ sở) của toàn bộ cơ thể M. rosenbergil PL26 được cho ăn chế độ ăn thương mại và chế độ ăn thương mại có bổ sung Artemia ở mức 25 nauplii/PL.

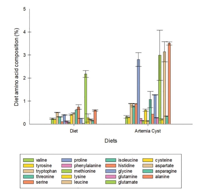
Hình 3. Thành phần axit amin của chế độ ăn được sử dụng cho M. rosenbergii PL26, bao gồm chế độ ăn thương mại và chế độ ăn thương mại có bổ sung Artemia ở mức 25 nauplii/PL.

Hình 4. Thành phần axit amin (làm cơ sở) của toàn bộ cơ thể M. rosenbergil PL26 được cho ăn chế độ ăn thương mại và chế độ ăn thương mại có bổ sung Artemia ở mức 25 nauplii/PL.

Hình 5. Thành phần axit béo của chế độ ăn được sử dụng cho M. rosenbergii PL26, bao gồm chế độ ăn thương mại và chế độ ăn thương mại có bổ sung Artemia ở mức 25 nauplii/PL.

Hình 6. Thành phần axit béo (làm cơ sở) của toàn bộ cơ thể M. rosenbergil PL26 được cho ăn chế độ ăn thương mại và chế độ ăn thương mại có bổ sung Artemia ở mức 25 nauplii/PL.
Thảo luận
Một số loại thức ăn thay thế đã được đánh giá trong các trại sản xuất giống cá và động vật giáp xác như một chất bổ sung hoặc thay thế cho ấu trùng Artemia (Kurmaly và cộng sự, 1989). Wan (1999) đã phát triển một số loại bột sấy phun và thử nghiệm chúng trên ấu trùng cá vược sọc (Morone saxatilis) và ấu trùng tôm càng xanh (Macrobrachium rosenbergii). Kết quả cho thấy tốc độ tăng trưởng và tỷ lệ sống của cả 2 loài ấu trùng đều thấp hơn nhiều so với chế độ ăn bổ sung Artemia. Các nghiên cứu khác về họ tôm He và ấu trùng M. rosenbergii chỉ ra rằng các chế độ ăn thay thế không hoạt động hiệu quả bằng chế độ ăn có bổ sung ấu trùng Artemia (Lovett & Felder, 1988; Samocha và cộng sự, 1989; Lavens và cộng sự, 2000).
“Thức ăn kích thước nhỏ sẽ kém hiệu quả hơn” là một quan niệm sai lầm về nhu cầu dinh dưỡng của ấu trùng (Sorgeloos & Léger 1992). Tuy nhiên, sự thành công của thức ăn được chế biến cho ấu trùng phụ thuộc vào các yếu tố khác ngoài hàm lượng dinh dưỡng. Điều quan trọng là phải hiểu các hành vi, cơ học và sinh lý xảy ra trong quá trình tiêu thụ thức ăn trước khi các chất dinh dưỡng quan trọng có thể được đánh giá đầy đủ (Jones và cộng sự, 1997). Thức ăn phải là loại ấu trùng nhận diện, bắt mồi, chấp nhận và tiêu thụ thành công. Do đó, kích thước hạt, tính nhất quán, kết cấu và mật độ của thức ăn có thể ảnh hưởng đến việc lựa chọn thức ăn và quá trình ăn của ấu trùng (Barros & Valenti, 2003).
Một số nghiên cứu đã chỉ ra rằng sinh khối Artemia có thể được sử dụng làm nguồn protein trong chế độ ăn của hậu ấu trùng Macrobrachium rosenbergii. Anh và cộng sự (2009) đã tiến hành thử nghiệm cho ăn trong 30 ngày. Kết quả cho thấy ấu trùng tôm được cho ăn chế độ ăn chứa khoảng 40% protein thô từ bột cá Peru có tỷ lệ sống thấp hơn 46% so với chế độ ăn chứa Artemia.
Kết luận
Kết quả của thử nghiệm thực tế này cho thấy việc cho tôm càng xanh Macrobrachium rosenbergii ăn bằng Artemia trong giai đoạn post ở mức 25 nauplii/PL sẽ cho thấy hiệu quả tích cực thông qua việc cải thiện tốc độ tăng trưởng và tỷ lệ sống, đồng thời giảm FCR.
Theo Hatchery Feed Management
Nguồn: https://hatcheryfm.com/magazine/hatchery-feed-management-vol-10-issue-3-2022/
Biên dịch: Huyền Thoại – Bình Minh Capital
Xem thêm:
- Các Nhà Khoa Học Cho Rằng Bột Krill Là Chìa Khóa Để Có Được Công Thức Thức Ăn Cho Tôm Giàu Dinh Dưỡng Và Tiết Kiệm Chi Phí
- Aqua-Spark Hỗ Trợ Doanh Nghiệp Công Nghệ Nuôi Tôm Việt Nam
- Nuôi Tôm Và Loại Trừ Mầm Bệnh Qua Hình Thức Cạnh Tranh
English