Tóm tắt
Nuôi tôm thâm canh thường dẫn đến các vấn đề về chất lượng nước và sự phát triển của vi khuẩn gây bệnh. Thức ăn dư thừa và phân tôm lắng đọng dưới đáy ao, trải qua quá trình amoni hóa, tạo ra lượng amoniac dư thừa trong nước và trầm tích. Amoniac ở nồng độ cao có thể gây độc cho tôm và tạo điều kiện cho vi khuẩn Vibrio sp. phát triển. Nghiên cứu này nhằm đánh giá hiệu quả của vi khuẩn nitrat hóa trong việc kiểm soát vi khuẩn Vibrio sp. và khí nitơ độc hại trong môi trường nuôi tôm thâm canh. 12 chai thủy tinh trong suốt (thể tích hiệu dụng là 3 L) đã được sử dụng trong nghiên cứu này. Probiotic thử nghiệm đã được mua trên thị trường tự do và nhà sản xuất tuyên bố có chứa Nitrosomonas sp., Nitrosococcus sp., Nitrobacter sp., Bacillus sp., Aerobacter sp., và Pseudomonas sp. Môi trường thử nghiệm là nước biển chứa Vibrio sp., TAN, NO2 và NO3 là 54,07±2,93 mg/L; 6,33±0,17 mg/L; 2,43±0,04 mg/L; và 0,46±0,01 mg/L. Các liều probiotic được thử nghiệm là 0 mg/L (đối chứng); 0,1 mg/L; 0,2 mg/L; và 0,4 mg/L với 3 lần lặp lại. Kết quả cho thấy liều 0,1 mg/L (A) cho hiệu quả đáng kể trong việc giảm nồng độ vi khuẩn Vibrio sp., khí NH3 và NO2 trong vòng 4 ngày sau khi điều trị. Tuy nhiên, liều 0,2 mg/L (B) an toàn hơn và có thể áp dụng tốt hơn trong thực tế nuôi tôm.
Giới Thiệu
Thâm canh nuôi tôm dẫn đến suy giảm chất lượng nước và gia tăng vi sinh vật gây bệnh. Nguyên nhân là do thức ăn thừa và phân tôm tích tụ dưới đáy ao, tạo ra các chất độc hại như NH3, NO2 và H2S, là môi trường thuận lợi cho sự phát triển của vi sinh vật gây bệnh. Phương pháp truyền thống để xử lý các vấn đề này là sử dụng hóa chất, nhưng hiện nay không được khuyến khích. Thay vào đó, người nuôi tôm đang sử dụng chế phẩm sinh học nitrat hóa, chứa các vi khuẩn có khả năng oxy hóa chất hữu cơ và khí độc.
Nghiên cứu này đã đánh giá tác động của chế phẩm sinh học nitrat hóa đối với chất lượng nước trong điều kiện phòng thí nghiệm. Kết quả cho thấy, chế phẩm sinh học nitrat hóa có hiệu quả trong việc giảm BOD, TAN, NO2, NH3, TVC và TBC.
Chuẩn bị nghiên cứu
Nghiên cứu bao gồm nghiên cứu sơ bộ và nghiên cứu chính, được thực hiện tại phòng thí nghiệm Vi sinh vật thủy sản, Phòng thí nghiệm Năng suất và Môi trường thủy sản, Khoa Khoa học Thủy sản và Biển, Đại học IPB, Bogor, trong khoảng thời gian từ tháng 10 đến tháng 12 năm 2019.
Môi trường nước được sử dụng trong nghiên cứu này bao gồm tải trọng hữu cơ là nước mặn (độ mặn 25 g/L) và tổng nitơ amoniac (TAN) tiếp cận môi trường nuôi tôm ở giai đoạn nuôi cuối cùng. Theo Boyd và Clay (2002), nồng độ TAN trong giai đoạn nuôi cuối cùng sẽ là 5-8 mg/L và liều lượng thức ăn sẽ vào khoảng 250 kg/ngày/0,36 ha. Chất hữu cơ được tạo ra bằng cách thêm thức ăn tôm nhân tạo 200 mg/L. Để đảm bảo nồng độ TAN trong môi trường, 46 mg NH4Cl/L (Saifullah, 2013). Môi trường nghiên cứu (nước biển + thức ăn tôm + NH4Cl) sau đó được ủ ở nhiệt độ phòng trong 24 giờ. Nồng độ TAN được phân tích và cho kết quả là 10,11±0,02 mg/L. Vì nồng độ này cao hơn nhiều so với dự kiến (5-8 mg/L), nên với cùng một quy trình điều chế, nồng độ NH4Cl đã giảm xuống một nửa (23 mg/L) và thu được nồng độ TAN là 6,34 mg/L. Sau đó, “môi trường nghiên cứu” được sử dụng cho nghiên cứu tiếp theo bao gồm nước biển, thức ăn nhân tạo cho tôm (200 mg/L) và NH4Cl (23 mg/L).
Probiotic nitrat hóa được sử dụng trong nghiên cứu này ở dạng bột và được mua ở thị trường tự do. Chế phẩm sinh học này được tuyên bố có chứa Nitrosomonas sp., Nitrosococcus sp., Nitrobacter sp., Bacillus sp., Aerobacter sp., và Pseudomonas sp. Để các vi khuẩn này phát huy hiệu quả, cần phải kích hoạt chúng một cách thích hợp. Môi trường kích hoạt được sử dụng trong nghiên cứu này bao gồm nước biển (độ mặn 25 g/L) và dung dịch đường. Dung dịch đường được chuẩn bị bằng cách thêm 25 g đường vào 25 ml nước uống (1% w/v). Sau đó, 25 ml dung dịch đường được thêm vào bình Erlenmeyer 500 mL, sau đó thêm nước biển đến vạch, khử trùng trong nồi hấp ở 102°C trong 1 giờ. Sau khi nguội đến nhiệt độ phòng, môi trường đã sẵn sàng để kích hoạt các tế bào lợi khuẩn.
Probiotic đã được thử nghiệm trong bột sau đó được thêm vào môi trường hoạt hóa với liều 0,2 mg/L theo khuyến nghị của nhà sản xuất. Môi trường được thử nghiệm được trang bị sục khí nhẹ để đảm bảo lượng oxy sẵn có và giữ cho vi khuẩn ở trạng thái lơ lửng. Sau đó, tổng số khuẩn lạc vi khuẩn được xác định phân tích 1 giờ sau khi cấy (là hàm lượng vi khuẩn trong T0). Sau đó, hàm lượng vi khuẩn được phân tích trong khoảng thời gian 24 giờ. Thử nghiệm kết thúc khi hàm lượng tế bào vi khuẩn giảm. Điều kiện tốt nhất để chuyển vi khuẩn sang môi trường mới khi quá trình sinh trưởng bắt đầu đến giai đoạn lũy thừa. Nghiên cứu sơ bộ cho thấy giai đoạn lũy thừa bắt đầu trong 24 giờ sau khi ủ (Hình 1). Vì vậy, đối với nghiên cứu chính tiếp theo, chế phẩm vi khuẩn được rút khỏi môi trường nuôi cấy vi khuẩn 24-48 giờ sau khi cấy.

Hình 1 Đường cong sinh trưởng của vi khuẩn nitrat hóa probiotic
Nghiên cứu được thiết kế theo kiểu thiết kế hoàn toàn ngẫu nhiên với 4 nghiệm thức và 3 lần lặp lại. 12 chai thủy tinh trong suốt có dung tích 3 L đã được sử dụng trong nghiên cứu này. Các hộp thủy tinh chứa đầy 2,5 L “môi trường nghiên cứu” và sau đó được cấy men vi sinh đã được kích hoạt trước. 4 liều probiotic kích hoạt trước khác nhau đã được tiêm vào môi trường dưới dạng phương pháp điều trị (Bảng 1).
Bảng 1 Xử lý nghiên cứu

Theo kết quả nghiên cứu sơ bộ, “môi trường nghiên cứu” gồm có nước biển chứa thức ăn tôm nhân tạo (200 mg/L) và NH4Cl (23 mg/L) trong khi môi trường hoạt hóa gồm 25 ml dung dịch đường (1% w/v) được thêm vào trong đến 500ml nước biển. Các tế bào lợi khuẩn đã được kích hoạt trước trong môi trường hoạt hóa trong 24 giờ trước khi được cấy vào môi trường. Các thùng chứa/nghiệm thức được sắp xếp ngẫu nhiên như trong Hình 2.

Hình 2 Sắp xếp thùng chứa/nghiệm thức (K, A, B và C là mã xử lý, 1, 2 và 3 là bản sao)
Các nghiệm thức tương tự cũng được thực hiện trong 4 bể cá riêng biệt (thể tích hiệu quả là 15 L). Mục đích của các nghiệm thức này là cung cấp nghiệm thức gốc thay thế vì khoảng 600 ml mẫu được lấy ra khỏi thùng nghiên cứu mỗi ngày. Bộ nghiên cứu này được sắp xếp ở nhiệt độ phòng của Phòng thí nghiệm Biomacro tại Khoa Khoa học Thủy sản và Biển, Đại học IPB.
Các thông số chất lượng nước như nhiệt độ, oxy hòa tan (DO), pH, nhu cầu oxy sinh học (BOD5), TAN, NH3, NO2, NO3 và phân tích vi khuẩn được thực hiện hàng ngày. Các phương pháp và thiết bị dùng để phân tích được mô tả trong Bảng 2. Phân tích vi khuẩn bao gồm khuẩn lạc Vibrio (bao gồm khuẩn lạc xanh và vàng), cũng như tổng số vi khuẩn (TBC).
Bảng 2 Các thông số, phương pháp và thiết bị dùng để phân tích

Dữ liệu được phân tích mô tả và thống kê. Phân tích thống kê đang sử dụng SAS (Phần mềm phân tích thống kê) phiên bản 9.4. Nếu có sự khác biệt đáng kể giữa các phương pháp điều trị thì hãy phân tích sâu hơn bằng cách sử dụng Thử nghiệm đa phạm vi Duncan (DMRT) như được mô tả bởi Mattjik và Sumertajaya (2000).
Kết Quả Và Thảo Luận
Kết quả
Không có sự thay đổi đáng kể nào về pH, nhiệt độ, oxy hòa tan (DO) và độ mặn. Tất cả các thông số này đều nằm trong phạm vi phù hợp với sinh vật thủy sinh (Bảng 3).
Bảng 3 Thông số chất lượng nước chính trong quá trình nghiên cứu

Tổng quần thể vi khuẩn được biểu thị bằng sự tăng trưởng tổng số vi khuẩn (TBC) trong Nutrient Agar cho thấy sự gia tăng với mô hình tương tự ở tất cả các nghiệm thức (Bảng 4 và Hình 3). Số khuẩn lạc TBC cao nhất đạt tối đa vào ngày thứ 3 sau khi tiêm và giảm xuống ở tất cả các nghiệm thức. Vào ngày thứ 4 sau khi tiêm ở nhóm đối chứng (K) cho thấy số lượng TBC cao hơn đáng kể (P<0,05) so với các nghiệm thức A, B và C. Trong ngày thứ 4, TBC ở nhóm A, B và C cho thấy sự giảm đáng kể (P<0,05) so với ngày thứ 3 và cũng thấp hơn đáng kể so với nghiệm thức đối chứng (K). TBC ở nghiệm thức đối chứng (K) là (193,0±77,0) x 106 CFU/mL, gần gấp 5 lần so với tất cả các nghiệm thức khác.
Bảng 4 Tổng số vi khuẩn theo nghiệm thức


Hình 3 Sự tăng trưởng quần thể của tổng số vi khuẩn (TBC)
Sự tăng trưởng quần thể Vibrio được biểu thị bằng tổng số lượng Vibrio, khuẩn lạc xanh và vàng được thể hiện trong Bảng 5, và mô hình của nó được minh họa trong Hình 4.

Hình 4 Sự tăng trưởng quần thể của vi khuẩn Vibrio dưới dạng tổng số khuẩn lạc Vibrio (TVC) xanh và vàng
Bảng 5 Tăng trưởng quần thể Vibrio được biểu thị bằng TVC, khuẩn lạc xanh và vàng

Quần thể Vibrio (TVC) tăng lên ở tất cả các nghiệm thức trong ngày 1, và sau đó cho thấy hiệu quả khác nhau của các nghiệm thức từ ngày 1 đến ngày thứ 2. Quần thể giảm ở nghiệm thức A và C, trong khi đó lại tăng ở nghiệm thức B và đối chứng (K). TVC tối đa (2,79 ± 0,78) x 104 CFU/mL được tìm thấy ở nghiệm thức B và cao hơn đáng kể so với các nghiệm thức khác. Tất cả các nghiệm thức đều làm giảm TVC từ ngày thứ 2 đến ngày thứ 4 xuống nồng độ rất thấp. Không tìm thấy thêm khuẩn lạc TVC nào ở nghiệm thức B và chỉ quan sát thấy lần lượt (0,7 ± 0,4) x 102 CFU/mL và (1,18 ± 0,19) x 103 CFU/mL ở nghiệm thức C và A, và thấp hơn nhiều so với nghiệm thức đối chứng (K) là (2,00 ± 0,65) x 103 CFU/mL.
Khuẩn lạc xanh thường thấp hơn so với khuẩn lạc màu vàng. Trong số 5 quan sát (ngày 0 đến ngày 4), có 2 quan sát ở nghiệm thức đối chứng (K, A và C) trong đó khuẩn lạc xanh cao hơn khuẩn lạc vàng. Quan sát ở nghiệm thức B cho thấy khuẩn lạc màu xanh lá cây luôn thấp hơn khuẩn lạc màu vàng.
Chất hữu cơ biểu thị bằng BOD5 đã giảm đáng kể (P<0,05) từ ngày 0 đến ngày thứ 4 ở tất cả các nghiệm thức. Nồng độ BOD5 ở ngày 0 là 54,07 ± 2,93 mg/L và giảm đáng kể xuống nồng độ thấp hơn nhiều ở tất cả các nghiệm thức. Nồng độ giảm xuống còn 17,57 ± 1,17 mg/L; 18,92 ± 1,17 mg/L và 17,57 ± 2,34 mg/L trong ngày thứ 4 đối với nghiệm thức A, B và C, và giảm nhiều hơn đáng kể (P<0,05) so với đối chứng (K) với 21,63 ± 1,17 mg/L BOD5 vào ngày thứ 4 (Hình 5).

Hình 5 Nồng độ BOD5 sau khi sử dụng men vi sinh
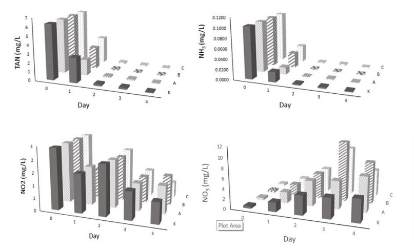
Nồng độ TAN, NH3, NO2 và NO3 sau các nghiệm thức được minh họa trên Hình 6. Trong ngày đầu tiên cấy men vi sinh, nồng độ TAN là 6,34 ± 0,17 mg/L và giảm đáng kể (P<0,05) chỉ trong vòng 1 ngày (ngày 1) cho tất cả các nghiệm thức. Nồng độ duy trì ở mức 0,08 ± 0,00 mg/L; 0,07 ± 0,00 mg/L và 0,08 ± 0,00 mg/L tương ứng ở nghiệm thức A, B và C và cao hơn một chút ở nhóm đối chứng là 0,09 ± 0,01 mg/L vào ngày thứ 4.

Hình 6 Nồng độ hợp chất nitơ sau khi sử dụng probiotic nitrat hóa
Amoniac (NH3) đã rất thấp trong ngày đầu tiên sau khi cấy (0,10 ± 0,00 mg/L). Nồng độ này giảm xuống ≤0,03 mg/L ở ngày 1 và tiếp tục giảm xuống 0,00 mg/L ở ngày thứ 2 đến ngày thứ 4 đối với tất cả các nghiệm thức. Nồng độ nitrit (NO2) là 2,44 L ± 0,04 mg/L trong ngày cấy đầu tiên. Tất cả các nghiệm thức đều dẫn đến giảm dao động và đạt giá trị tối thiểu là 1,11 ± 0,46 mg/mL (nhóm A), 1,20 ± 0,62 mg/mL (nhóm B), 0,65 ± 0,02 mg/L trong nhóm C và 0,83 ± 0,32 mg /L (K đối chứng) vào ngày thứ 4. Kiểu nồng độ khác nhau được thể hiện ở NO3, trong đó thông số này tăng lên trong 4 ngày ủ. Nồng độ NO3 là 0,46 ± 0,01 mg/L trong ngày 0 và tăng lên 6,9507 ± 1,8207 mg/L (nhóm A), 8,34 ± 0,51 mg/L (nhóm B) và 5,4861 ± 0,4860 mg/L (nhóm C). Thấp hơn một chút được tìm thấy ở nghiệm thức đối chứng (K) là 4,44 ± 0,27 mg/L.
Thảo luận
Nuôi tôm thâm canh dẫn đến sự tích tụ đáng kể các chất hữu cơ chủ yếu từ thức ăn dư thừa và phân tôm. Thức ăn thừa và phân bị phân hủy bởi vi khuẩn, trong đó carbon hữu cơ bị oxy hóa thành carbon dioxide và nitơ hữu cơ được khoáng hóa thành amoniac, nitrit và nitrat. Điều này có khả năng làm tăng vi khuẩn gây bệnh và làm xấu đi chất lượng nước. Quần thể vi khuẩn gây bệnh như Vibrio sp. sẽ tăng khi lượng chất hữu cơ tăng lên. Nitrat hóa là vi khuẩn hóa tự dưỡng có khả năng tổng hợp chất hữu cơ thông qua quá trình nitrat hóa. Quá trình nitrat hóa là một quá trình lọc nước tự nhiên bằng cách oxy hóa amoniac có khả năng gây độc thành nitrat không độc hại và vi khuẩn Nitrosomonas và Nitrobacter đóng vai trò quan trọng trong quá trình này. Sự hiện diện của vi khuẩn nitrat hóa rất quan trọng trong nuôi trồng thủy sản để duy trì lượng khí độc nitơ ở mức có thể gây hại cho cá hoặc tôm.
Sự thành công của nuôi tôm phụ thuộc vào việc duy trì chất lượng nước và sự cân bằng giữa vi khuẩn có lợi và vi khuẩn gây bệnh. Việc sử dụng men vi sinh để kiểm soát vi khuẩn gây bệnh là một chiến lược hiệu quả.
Nghiên cứu này cho thấy việc cấy vi khuẩn nitrat hóa có thể làm giảm tải lượng hữu cơ trong nước. Nồng độ 0,1 mg/L Probiotic (chứa Nitrosomonas sp., Nitrosococcus sp., Nitrobacter sp., Bacillus sp., Aerobacter sp., và Pseudomonas sp.) có thể giảm 68% lượng chất hữu cơ (BOD5) trong vòng 4 ngày. Liều cao hơn 0,2 và 0,4 mg/L không mang lại tác dụng đáng kể. Những liều men vi sinh này mang lại số lượng tổng số khuẩn lạc dị dưỡng (TBC) tối đa là 2,29 x108 CFU/mL. Con số này gần với nghiên cứu được thực hiện bởi Karthik et al. (2016), trong đó họ sử dụng khuẩn lạc TBC 1,1 x 108 CFU/mL trong nước chứa ấu trùng tôm khỏe mạnh, trước đó nước được tiêm vi khuẩn nitrat hóa.
Số lượng khuẩn lạc TVC thấp hơn nhiều so với TBC, trong đó số lượng khuẩn lạc TVC tối đa chỉ có thể đạt 104 CFU/mL trong ngày thứ 2. TVC xuống thấp đến mức <103 khi nước được xử lý bằng men vi sinh nitrat hóa. Sự hiện diện của TVC trong ao nuôi thường gây ra vấn đề vì những vi khuẩn này là cơ hội và làm tôm chết khi ở tình trạng yếu. Nghiên cứu này xác nhận rằng vi khuẩn nitrat hóa cũng hiện diện trong nước tự nhiên vì TVC trong nhóm đối chứng cũng bị ức chế xuống còn 103 CFU/mL.
Gần đây nông dân vẫn coi khuẩn lạc màu xanh lá cây gây bệnh nhiều hơn so với khuẩn lạc màu vàng. Tuy nhiên, các nghiên cứu gần đây đã chỉ ra rằng các chủng vi khuẩn Vibrio sp. hình thành khuẩn lạc màu vàng cũng có thể gây ra các bệnh nghiêm trọng ở tôm. Ví dụ, một nghiên cứu của Kumar và cộng sự. (2016) đã phát hiện ra rằng chủng V. alginoliticus hình thành khuẩn lạc màu vàng có thể gây ra bệnh phân trắng ở tôm thẻ chân trắng. Một nghiên cứu khác của Supono và cộng sự. (2019) cũng đã phát hiện ra rằng chủng V. parahaemoliticus hình thành khuẩn lạc màu vàng có thể gây ra bệnh phân trắng ở tôm thẻ chân trắng. Do đó, việc phân biệt khuẩn lạc xanh và khuẩn lạc màu vàng trong phân tích vi khuẩn gây bệnh Vibrio sp. không còn phù hợp nữa.
Nghiên cứu này cho thấy rằng chế phẩm sinh học nitrat hóa có thể làm giảm nồng độ NH3 xuống 0,03 mg/L đã có trong ngày đầu tiên và giảm liên tục xuống 0,00 mg/L trong sự kiện từ ngày thứ 2 đến ngày thứ 4 ở mức xử lý thấp nhất là 0,1 mg/L. Nồng độ NO2 cũng giảm xuống dưới 1,5 mg/L trong cùng khoảng thời gian. Ở cùng độ mặn được thử nghiệm trong nghiên cứu này (25 g/L) mức tiết kiệm là 15,20 mg/L. Sự gia tăng NO3 trong thời gian nghiên cứu cho thấy rằng vi khuẩn tổng hợp probiotic đóng vai trò quan trọng trong việc oxy hóa NO2. Số lượng vi khuẩn TBC giảm đáng kể trong ngày thứ 4, nên cần cấy lại men vi sinh vào một ngày trước đó để duy trì việc ức chế sự phát triển của TVC và nồng độ khí nitơ được duy trì ở mức an toàn.
Kết luận
Probiotic nitrat hóa có sẵn trên thị trường tự do được cho là bao gồm Nitrosomonas sp., Nitrosococcus sp., Nitrobacter sp., Bacillus sp., Aerobacter sp., và Pseudomonas sp. có hiệu quả làm giảm chất hữu cơ và ngăn chặn sự phát triển của vi khuẩn gây bệnh (TVC) đến mức tiết kiệm cho nuôi tôm. Nghiên cứu cho thấy liều lượng 0,1 ml/L vi khuẩn nitrat hóa đã mang lại hiệu quả trong việc giảm chất hữu cơ và kiểm soát vi khuẩn gây bệnh. Tuy nhiên, liều lượng 0,2 mg/L được đánh giá an toàn hơn và có thể áp dụng hiệu quả hơn trong thực tế nuôi tôm.
Theo Bambang Widigdo, Munti Yuhana, Aliati Iswantari, Claritha Madonsa, Inka Destiana Sapitri, Yusli Wardiatn, Agus Alim Hakim, Fitrina Nazar
Biên dịch: Nguyễn Thị Quyên – Bình Minh Capital
- Xem thêm:
- Nhiệt Độ Ảnh Hưởng Đến Hành Vi Kiếm Ăn Của Tôm Thẻ Chân Trắng
- Xử Lý Nước Thải Trại Giống Tôm
- Công Ty Công Nghệ Sinh Học Úc Ra Mắt Công Nghệ Phát Hiện Sớm Bệnh Trên Tôm
English