3. Kết quả
3.1. Ảnh hưởng của nuôi tôm đến tính chất hóa lý của đất
Hàm lượng nước trong đất dao động từ 38,26% đến 45,01% và bị ảnh hưởng đáng kể bởi lịch sử xả thải (Hình 2a, Bảng 1). Thử nghiệm sau hoc cho thấy hàm lượng nước trong đất ở mức 14DK thấp hơn đáng kể so với 8DK và 0DK (p < 0,001). Tuy nhiên, không có sự tương tác đáng kể nào được tìm thấy giữa lịch sử xả thải và độ sâu của đất. Không có sự khác biệt đáng kể giữa năm lớp độ sâu (p > 0,05).
Nước thải ao tôm làm tăng giá trị pH đất, dao động từ 6,94 ở độ sâu 20–30 cm ở 0DK lên 7,72 ở độ sâu 10–20 cm ở 14DK. Giá trị ở mức 0DK và 8DK có thể so sánh và thấp hơn đáng kể so với giá trị ở mức 14DK (p < 0,001). Giá trị pH trung bình của đất ở 0DK là thấp nhất ở mọi độ sâu ngoại trừ 40–50 cm. Không có sự khác biệt đáng kể giữa các độ sâu đất khác nhau và không có sự tương tác đáng kể giữa hai yếu tố (Hình 2b, Bảng 1).
Tương tự, mật độ khối lượng lớn của đất khác nhau đáng kể giữa ba vị trí xả thải nhưng không khác nhau giữa các độ sâu của đất. Nước thải ao tôm giúp tăng đáng kể mật độ khối lượng đất ở mức 8DK và 14DK (p < 0,001). Giá trị tối đa là 1,14 g/ cm3 ở độ sâu 40–50 cm ở 14DK và giá trị nhỏ nhất là 0,95 g/ cm3 ở độ sâu 10–20 cm ở 0DK (Hình 2c, Bảng 1). Không tìm thấy sự tương tác đáng kể giữa lịch sử xả thải và độ sâu của đất (p > 0,05).

Hình 2. Hàm lượng nước trong đất, độ pH và mật độ khối lượng lớn trong các phần độ sâu đất khác nhau từ ba vị trí lấy mẫu. Các phương tiện và độ lệch chuẩn được hiển thị. (0DK: Rừng Kandelia obovata không tiếp nhận xả ao nuôi tôm, 8DK: Rừng Kandelia obovata tiếp nhận xả ao nuôi tôm 8 năm và 14DK: Rừng Kandelia obovata tiếp nhận xả nuôi tôm 14 năm.)
Bảng 1 Giá trị F của ANOVA hai chiều cho thấy ảnh hưởng của lịch sử xả thải ao nuôi tôm và độ sâu của đất đối với tính chất của đất.

3.2. Ảnh hưởng của nuôi tôm đối với hàm lượng nguyên tố sinh học trong đất
Việc xả nước thải ao tôm làm giảm đáng kể hàm lượng TOC trong đất khi lịch sử xả thải ngày càng tăng. Hàm lượng TOC trong đất dao động từ 11,59 mg/ g đến 16,31 mg/g trên lõi 50 cm tại ba vị trí. Chúng bị ảnh hưởng đáng kể bởi lịch sử xả thải và độ sâu của đất (p < 0,001). Hàm lượng TOC ở 14DK thấp hơn đáng kể so với hàm lượng ở 8DK và 0DK, và giá trị trung bình tối đa được tìm thấy ở 0DK. Đối với biến thể dọc, giá trị của ba vị trí ở độ sâu 0–10 cm cao hơn đáng kể trong bốn lớp còn lại (Hình 3a, Bảng 1). Hàm lượng LOC thấp hơn đáng kể được đo ở mức 8DK so với hàm lượng ở 0DK và 14DK theo thử nghiệm post-hoc (p < 0,001). Ở 14DK, hàm lượng LOC có biến thể lớn nhất từ 2,25 mg/ g đến 4,00 mg/ g trong đất 0–50 cm. Hàm lượng LOC cao nhất được tìm thấy trong đất 20-30 cm. Tuy nhiên, lịch sử xả thải và độ sâu của đất không có sự tương tác đáng kể về hàm lượng TOC và LOC (Hình 3b, Bảng 1). Hàm lượng TN trong đất dao động từ 0,99 mg/ g trong 30–40 cm ở 0DK đến 2,08 mg/ g trong 0–10 cm ở 14DK. Cả lịch sử xả thải và độ sâu của đất đều ảnh hưởng đáng kể đến hàm lượng TN trong đất (p < 0,001). Đối với biến đổi không gian, các giá trị trung bình tương đương lần lượt là 1,59 và 1,60 mg/ g ở 8DK và 14DK cao hơn đáng kể so với giá trị (1,20 mg/ g) ở 0DK. Theo chiều dọc, một mối quan hệ tiêu cực giữa hàm lượng TN trong đất và độ sâu của đất đã được phát hiện (r = −0.68, p < 0,001). Hàm lượng TN trong đất giảm đáng kể khi tăng độ sâu của đất và các giá trị ở mức 40–50 cm giảm 24,77% – 45,25% so với đất 0–10 cm tại ba vị trí (Hình 3c, Bảng 1). Hơn nữa, sự tương tác giữa lịch sử xả thải và độ sâu của đất cũng có ý nghĩa đối với hàm lượng TN của đất (p < 0,01).
Hàm lượng TP được phân biệt rõ ràng giữa ba địa điểm có lịch sử xả khác nhau theo thứ tự sau: 14DK > 8DK > 0DK (p < 0,001). Hơn nữa, với mỗi độ sâu đất, 14DK có giá trị TP cao nhất. Xu hướng biến đổi trong hàm lượng TP của đất giữa các độ sâu đất khác nhau tương tự như đối với hàm lượng TN trong đất. Hàm lượng TP trong đất trung bình ở lớp 0–10 cm trên cùng lần lượt là 0,54, 0,63 và 0,95 mg/ g ở 0DK, 8DK và 14DK. Tương tự như nội dung TOC và TN, nội dung TP giảm đáng kể ở lớp 40–50 cm so với lớp 0–10 cm (Hình 3d, Bảng 1). Tuy nhiên, không có sự tương tác đáng kể nào được phát hiện giữa hai yếu tố lịch sử xả thải và độ sâu của đất đối với hàm lượng TP của đất.
TOC đất: Tỷ lệ TN thay đổi từ 7,20 đến 12,77 tại ba địa điểm của rừng K. obovata (Hình 3e, Bảng 1). Thử nghiệm ANOVA hai chiều tiết lộ rằng lịch sử xả thải, độ sâu của đất và sự tương tác của chúng có ảnh hưởng đáng kể đến tỷ lệ TOC: TN của đất (p < 0,001). Tỷ lệ ở mức 8DK và 14DK tương tự nhau và thấp hơn đáng kể so với tỷ lệ 0DK. Đất TOC: Tỷ lệ TN ở độ sâu 30–40 cm và 40–50 cm là 11,48 ± 2,71 và 11,94 ± 1,99; chúng cao hơn đáng kể so với ba lớp trên cùng. Hơn nữa, chúng thể hiện thứ tự sau: 40–50 cm > 30–40 cm > 20–30 cm > 10–20 cm > 0–10 cm. Đất TN: Tỷ lệ TP 2,04 ± 0,34 ở 14DK thấp hơn tỷ lệ ở 0DK và 8DK (Hình 3f, Bảng 1). Về mặt phân bố theo chiều dọc, tỷ lệ TN: TP của đất cho thấy giá trị cao nhất ở lớp 20–30 cm. Tuy nhiên, không có biến thể đáng kể nào được tìm thấy ở độ sâu khác nhau và sự tương tác giữa lịch sử xả thải và độ sâu của đất là không đáng kể.


Hình 3. Tổng lượng cacbon hữu cơ trong đất, cacbon hữu cơ không bền, tổng nitơ, tổng hàm lượng phốt pho và tỷ lệ tổng cacbon hữu cơ trên tổng nitơ, tỷ lệ tổng nitơ trên tổng phốt pho trong các phần độ sâu đất khác nhau. Các phương tiện và độ lệch chuẩn được hiển thị. (0DK: Rừng Kandelia obovata không nhận xả ao nuôi tôm, 8DK: Rừng Kandelia obovata nhận xả ao nuôi tôm 8 năm và 14DK: Rừng Kandelia obovata nhận xả ao nuôi tôm trong 14 năm.)
3.3. Ảnh hưởng của nuôi tôm đối với nguồn dự trữ nguyên tố sinh học trong đất
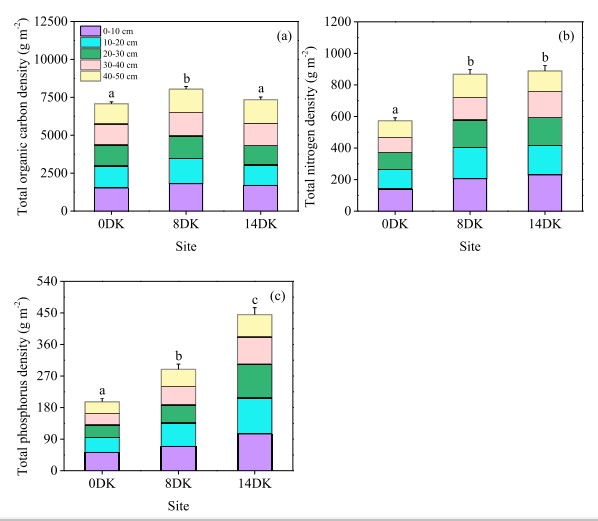
Mật độ TOC của đất dao động từ 7074,74 đến 8044,04 g/ m2 ở khoảng cách sâu 0–50 cm. Các giá trị ở 0DK và 14DK tương tự nhau và thấp hơn đáng kể so với giá trị ở mức 8DK (p < 0,05) (Hình 4a, Bảng 1). Mật độ TOC trung bình của đất là 1272,98–1804,71 g/ m2 cho mỗi lớp 10 cm. Mật độ TOC của đất ở lớp 0–10 cm cao hơn đáng kể so với bốn lớp còn lại (p < 0,001).
Nước thải ao tôm giúp cải thiện đáng kể tình trạng dinh dưỡng của đất, đặc biệt là đối với mật độ TP. Ảnh hưởng của lịch sử xả thải và độ sâu của đất đối với mật độ TN và TP của đất là khác nhau đáng kể (p < 0,001) (Hình 4b và c, Bảng 1). Đối với mật độ TN của đất, các giá trị ở 8DK và 14DK là tương tự nhau và cao hơn đáng kể so với 0DK. Ngoài ra, mô hình thẳng đứng của mật độ TN là 0–10 cm > 10–20 cm > 20–30 cm > 30–40 cm > 40-50 cm, giảm dần theo độ sâu của đất. Nó dao động từ 572,84 đến 888,27 g/ m2 ở khoảng độ sâu 0–50 cm và mật độ TN đất trung bình là 94,69–229,55 g/ m2 cho mỗi lớp 10 cm. Đối với mật độ TP đất, giá trị ở mức 14DK cao hơn đáng kể so với 0DK và 8DK có giá trị trung gian. Thứ tự thẳng đứng của mật độ TP đất ở các lớp khác nhau tương tự như mật độ TN của đất, với các giá trị ở trên cùng cao hơn 0–10 cm đáng kể so với ba lớp có độ sâu 20–50 cm. Nó dao động từ 196,34 đến 444,84 g/ m2 ở khoảng độ sâu 0–50 cm và mật độ TP đất trung bình là 32,60–102,99 g/ m2 cho mỗi lớp 10 cm.

Hình 4. Trữ lượng carbon hữu cơ, tổng nitơ và tổng phốt pho trong đất 0-50 cm. Thanh lỗi đại diện cho độ lệch chuẩn. Các chữ cái khác nhau cho thấy sự khác biệt đáng kể ở p < 0,05. (0DK: Rừng Kandelia obovata không tiếp nhận xả ao nuôi tôm, 8DK: Rừng Kandelia obovata tiếp nhận xả ao nuôi tôm 8 năm và 14DK: Rừng Kandelia obovata tiếp nhận xả ao nuôi tôm 14 năm.)
3.4. Nguồn carbon hữu cơ trong đất
Trong nghiên cứu này, các giá trị δ13C (‰) trung bình thay đổi đáng kể giữa ba nguồn, và chúng lần lượt là −23,31‰, −24,80‰ và −29,98‰ trong ao nuôi tôm, SPOM từ nước thủy triều và thực vật K. obovata (Hình 5). Nói chung, lá K. obovata bị rụng nhiều nhất trong 13ºC, trong khi giá trị δ13C cao nhất được đo từ nước thải ao nuôi tôm. Các phân tích của IsoSource chỉ ra rằng tỷ lệ đóng góp vào TOC đất của nước thải ao tôm cao hơn hoặc tương tự so với sự đóng góp của nước thủy triều và thấp hơn một chút so với cây ngập mặn. Hơn nữa, tỷ lệ đóng góp của nước thải ở mức 14DK cao hơn 3,60% so với 8DK trong đất 0–10 cm trong rừng K. obovata (Hình 6). Kết quả cho thấy sự đóng góp TOC của nước thải ao tôm tăng lên cùng với lịch sử xả thải ngày càng tăng.

Hình 5. δ13C (‰) lơ lửng trong ao nuôi tôm, chất rắn lơ lửng từ nước thủy triều và lá K. obovata. Thanh lỗi đại diện cho độ lệch chuẩn. Các chữ cái khác nhau cho thấy sự khác biệt đáng kể ở p < 0,05.

Hình 6. Tỷ lệ đóng góp của ba nguồn vào đất ngập mặn tổng lượng carbon hữu cơ ở độ sâu 0–10 cm tại các vị trí 8DK (trái) và 14DK (phải). 8DK: Rừng Kandelia obovata tiếp nhận xả ao nuôi tôm 8 năm, 14DK: Rừng Kandelia obovata tiếp nhận xả ao nubảng nuôi tôm 14 năm.
4. Thảo luận
4.1. Ảnh hưởng của nước thải ao tôm đến nguồn và trữ lượng carbon hữu cơ trong đất
Trên phạm vi toàn cầu, rừng ngập mặn có thể lưu trữ nhiều carbon hơn nhiều hệ sinh thái khác (Donato và cộng sự, 2011; Alongi, 2014) và trữ lượng TOC trong đất chiếm phần lớn trữ lượng carbon trong hệ sinh thái rừng ngập mặn (Murdiyarso và cộng sự, 2015; Sanders và cộng sự, 2016). Nước thải ao tôm chứa một lượng lớn chất hữu cơ, bao gồm thức ăn thừa và chất thải động vật (Cardoso-Mohedano và cộng sự, 2016b). Tuy nhiên, trong nghiên cứu này, đầu vào của nước thải allochthonous đã làm tăng dự trữ TOC ở mức 8DK nhưng không ảnh hưởng đến trữ lượng trong lịch sử xả thải 14 năm. Những thay đổi về mật độ TOC của đất ở độ sâu 0–50 cm sau lịch sử xả bị hạn chế (dao động từ 7074,74 g/ m2 ở 0DK đến 8044,04 g/ m2 ở 8DK) và trữ lượng trong đất 0–50 cm ở 14DK tương tự như ở 0DK. Kết quả có thể được quy cho thực tế là trữ lượng carbon trong đất có liên quan tích cực đến kết quả nhân BD đất với hàm lượng TOC của đất. Trong nghiên cứu này, sự tích tụ nước thải từ ao nuôi tôm theo thời gian làm giảm hàm lượng nước trong đất ngập mặn, do đó làm tăng BD đất, đặc biệt là ở vị trí xả thải dài hạn ở mức 14DK. Hơn nữa, một số nghiên cứu báo cáo rằng so sánh với đất ngập mặn, trầm tích của các trang trại nuôi tôm có độ xốp thấp hơn và có BD đất cao hơn đáng kể (Arifanti và cộng sự, 2019; Eid và cộng sự, 2019). Hàm lượng TOC trong đất ngập mặn ở mức 14DK thấp hơn đáng kể so với 0DK và 8DK. Hàm lượng TOC trong đất ngập mặn giảm đáng kể do xả nước thải trong 14 năm cũng hỗ trợ kết quả kiểm kê. Tương tự như kết quả của chúng tôi tại 14DK, Suárez-Abelenda và cộng sự (2014) đã báo cáo rằng hàm lượng TOC của đất ở độ sâu 0–40 cm cao hơn đáng kể và độ cô lập TOC thấp hơn 2,2 lần trong đất ngập mặn bị ảnh hưởng bởi nước thải so với đất ngập mặn không bị ảnh hưởng bởi nước thải. Luo và cộng sự (2017) đã báo cáo rằng trầm tích rừng ngập mặn được thêm vào với 20 μg/ g N có thể gây mất nguồn C. Hơn nữa, các nghiên cứu trước đây cho rằng việc giảm lưu trữ TOC trong đất ngập mặn bị ảnh hưởng bởi nước thải có khả năng gây ra bởi hai lý do sau: (1) hô hấp vi sinh vật tăng lên khi bổ sung nước thải giàu chất dinh dưỡng từ các ao nuôi trồng thủy sản (2) sự gia tăng các chất nhận điện tử (ví dụ: NO3−); ảnh hưởng tiêu cực đến trữ lượng TOC của đất (Suárez-Abelenda và cộng sự, 2014). Ngoài ra, LOC của đất có liên quan đến hoạt động của vi sinh vật và nhạy cảm với những thay đổi môi trường của đất (Culman và cộng sự, 2012). Do đó, xét về hàm lượng LOC, 8DK có giá trị thấp nhất và 14DK có sự thay đổi lớn nhất về cấu hình đất, cho thấy việc xả nước thải ao tôm trong thời gian dài dẫn đến mất ổn định của đất ngập mặn.
Để hiểu đầy đủ phản ứng của nước thải ao tôm đối với việc cô lập C trong đất ngập mặn, cần nghiên cứu các quy trình xác định sản lượng, nguồn gốc và tích lũy TOC dưới tác động của nước thải ao nuôi tôm. Trong nghiên cứu này, đất bề mặt ở 0DK cho thấy tỷ lệ TOC:TN trung bình tương đối cao là 14,76 ± 0,57, cho thấy rằng chúng có nguồn gốc TOC từ các nguồn hỗn hợp của cả vật chất biển và trên cạn. Kết quả này được hỗ trợ bởi Zhou và cộng sự (2007), người đã báo cáo rằng tỷ lệ OC:TN của đất là 4–10 trong hệ sinh thái cửa sông có nguồn gốc từ vật chất biển trong khi tỷ lệ của > 20 có nguồn gốc từ vật chất trên cạn. Tuy nhiên, OC:TN của thực vật trên cạn, thực vật có mạch lên đến hoặc vượt quá 100 (Zhang và cộng sự, 2013). Hơn nữa, tỷ lệ TOC:TN thấp hơn đáng kể đã được tìm thấy tại các vị trí xả thải 8 năm và 14 năm, điều này cho thấy hàm lượng TOC giảm và tăng đầu vào dinh dưỡng từ nước thải ao nuôi tôm. Ngoài ra, nước thải ao nuôi tôm làm giảm giá trị của đất TOC:TN, điều này cho thấy sự đóng góp của biển cũng tăng lên cùng với sự đóng góp ngày càng tăng của nước thải ao tôm.
Nhiều nghiên cứu đã áp dụng các giá trị δ13C để theo dõi các nguồn TOC, và phân tích đồng vị đã được sử dụng hiệu quả để ước tính tác dụng của các nguồn TOC do con người gây ra (Hyodo và cộng sự, 2008; Zhao và cộng sự, 2019). Kết quả của chúng tôi cho thấy ngoài lá cây và nước thủy triều, nước thải ao tôm còn chiếm tỷ lệ đóng góp cao của carbon hữu cơ trong đất. Tại các điểm xả, nước thải ao tôm và cây ngập mặn chiếm 70%–74% TOC đất ngập mặn, điều này đã xác nhận giả thuyết thứ ba của chúng tôi. Đối với nước thải ao nuôi tôm, tỷ lệ đóng góp bề mặt 33,60% ở mức 14DK cao hơn tỷ lệ 30,00% ở mức 8DK. Kết quả này rõ ràng đã chứng minh rằng sự tích tụ nước thải ao tôm đã tăng cường đầu vào của TOC. Phát hiện của chúng tôi phù hợp với kết quả được công bố trước đây ở đảo Hải Nam, nơi đầu vào từ nuôi trồng thủy sản là khoảng 30% (Bao và cộng sự, 2013). Nghiên cứu này tương tự như các nghiên cứu trước đây, cũng phát hiện ra rằng thực vật đã đóng góp một lượng lớn TOC vào đất ở vùng đất ngập nước ven biển (Cheng và cộng sự, 2010; Xiong và cộng sự, 2018). Nước thủy triều đóng góp 26,00%–30,00% TOC trong đất 0–10 cm và tạo thành nguồn carbon chính, nằm trong phạm vi kết quả ở Bao và cộng sự (2013). Đối với kết quả đồng vị cacbon ổn định của chúng tôi, phạm vi đất δ13C (−25,91‰ đến −25,51‰) cũng phản ánh rằng TOC rừng ngập mặn có nguồn gốc từ hỗn hợp của cả mảnh vụn thực vật K. obovata trên cạn bản địa và nước thải ao tôm ngoại lai cũng như nước thủy triều. Đặc biệt, các giá trị δ13C đóng vai trò như một chỉ số đáng tin cậy và phản ánh tác động lớn của nước thải ao tôm đối với đất ngập mặn.
4.2. Ảnh hưởng của nước thải ao tôm đối với nitơ trong đất và trữ lượng phốt pho
Sự tích tụ N và P dưới tác động của nước thải ao tôm gần rừng ngập mặn có thể chứng minh tầm quan trọng của rừng ngập mặn trong quá trình tuần hoàn sinh địa hóa ven biển. Trong nghiên cứu này, các trữ lượng TN và TP, đặc biệt là các trữ lượng TP, đã tăng đáng kể tại các điểm xả thải. Dự trữ đất TP trong 50 cm hàng đầu tăng 47,21% từ 0DK lên 8DK, trong khi mức tăng từ 0DK lên 14DK cao hơn 126,57%. Hơn nữa, dữ liệu của đất TN và TP chỉ ra rằng ảnh hưởng của nước thải ao tôm có ý nghĩa hơn ở lớp bề mặt và giảm theo độ sâu của đất. Những kết quả này xác nhận dự trữ của TN và TP trong giả thuyết 1 và giả thuyết 2. Kết quả của chúng tôi về hàm lượng chất dinh dưỡng cũng hỗ trợ hai điểm này. Hàm lượng TN trong đất là 1,59 và 1,60 mg/ g ở 8DK và 14DK, vượt quá phạm vi 0,46–0,97 mg/ g trong nghiên cứu được thực hiện tại Rừng ngập mặn Sundarbans, Bangladesh và nước thải ao tôm đã tăng hàm lượng TP trong đất lên 26,36–215,91 lần so với kết quả của chúng (Hossain và Bhuiyan, 2016). Vitousek và Howarth (1991) đã báo cáo rằng hầu hết các hệ sinh thái trên cạn và biển đều bị hạn chế N và nguồn cung cấp chất dinh dưỡng ảnh hưởng đến sản xuất chính của cây trồng. P có một quá trình chu kỳ ước lượng hơn C và N vì thiếu sự trao đổi với bầu khí quyển (Moreno-Mateos và cộng sự, 2012) và vì hàm lượng của nó trong đất có thể bắt nguồn từ cả mảnh vụn thực vật bản địa và vật chất từ các khu vực lân cận allochthonous. Tuy nhiên, lượng tải trọng TN và TP từ việc rửa trôi trầm tích ao tôm lần lượt là 712,84 và 353,86 kg/ ha/ năm, lớn hơn 100–1000 lần so với tải trọng từ việc thay nước hàng ngày (Wu và cộng sự, 2014) và có thể gây ra các mối đe dọa nghiêm trọng đối với các hệ thống sinh thái ven biển. Rõ ràng là nước thải ao nuôi tôm, có thể làm tăng đáng kể mật độ TN và TP của đất ngập nước ven biển, đã ảnh hưởng đáng kể đến đất trên của rừng K. obovata tại các địa điểm nghiên cứu và có khả năng ảnh hưởng đến các quá trình và chức năng của toàn bộ rừng ngập mặn.
5. Kết luận
Tóm lại, ảnh hưởng của nước thải ao tôm đối với C, N và P trong các khu rừng ngập mặn liền kề đã được đánh giá. Các kết quả sau đây đã thu được. Đầu tiên, nước thải ao tôm tăng cường trữ lượng đất ngập mặn TOC, TN và TP tại khu vực xả 8 năm (8DK). Trong khi đó, dự trữ TOC tại vị trí xả thải 14 năm (14DK) và vị trí kiểm soát (0DK) là tương đương nhau. Thứ hai, lịch sử xả thải và độ sâu của đất có những tác động khác nhau đối với trữ lượng đất ngập mặn TOC, TN và TP. Thứ ba, nước thải ao tôm và cây ngập mặn là những yếu tố đóng góp chính cho đất TOC tại các điểm xả thải, đặc biệt là tại 14DK. Ngoại trừ các chất hữu cơ và chất dinh dưỡng, nước thải ao tôm cũng chứa một số chất có hại như kháng sinh. Do đó, các thành phần có hại cho sức khỏe con người và an toàn môi trường trong các tác động tiềm tàng lâu dài của nước thải ao tôm cần được quan tâm và nghiên cứu thêm. Hơn nữa, cần tăng cường việc quản lý nuôi trồng thủy sản và bảo vệ hệ sinh thái đất ngập nước.
Theo Yuan Tian, Guangcheng Chen, Haoliang Lu, Heng Zhu, Yong Ye
Nguồn: https://sci-hub.hkvisa.net/10.1016/j.marpolbul.2019.110657
Biên dịch: Nguyễn Thị Quyên – Bình Minh Capital
Xem thêm:
- Xác Định Tác Nhân Truyền Nhiễm Gây Bệnh Mờ Đục (TPD) Trên Hậu Ấu Trùng Tôm Thẻ Chân Trắng
- Probiotic Mang Lại Lợi Ích Cho Tôm Thẻ Chân Trắng Bị Cảm Nhiễm Với AHPND
- Nấm Men Biến Đổi Gen – Nguồn Astaxanthin Đầy Hứa Hẹn Cho Thức Ăn Tôm
English