Tóm tắt
Bối cảnh và mục tiêu: Tình trạng sinh lý của giáp xác bị ảnh hưởng đáng kể không chỉ bởi nồng độ các khoáng chất chính trong môi trường nước mà còn bởi tỷ lệ nồng độ của chúng. Mục tiêu của nghiên cứu này là phân tích ảnh hưởng của nồng độ khoáng chất chính và tỷ lệ của chúng đến hiệu suất sản xuất tôm thẻ chân trắng Litopenaeus vannamei.
Vật liệu và phương pháp: 7 ao nuôi thương phẩm đã được đánh giá. Tất cả các ao đều được lấp đầy bằng nước ven biển pha loãng với nước ngọt từ lạch hoặc sông có độ mặn 18,0-28,8 g/ L. Tất cả các ao đều được thả giống (PL10) sạch mầm bệnh (SPF) với mật độ 65-128 PL/ m2. Tôm được cho ăn bằng thức ăn công nghiệp 3-5 lần một ngày và theo dõi tốc độ tăng trưởng của tôm hàng tuần. Các mẫu nước được thu thập từ tất cả các ao vào thời điểm 1-2 tuần trước khi thu hoạch để phân tích các khoáng chất chính (Cl, Na, Mg, SO4, Ca và K).
Kết quả: Kết quả cho thấy sự thay đổi độ mặn của nước trong khoảng 18,0-28,8 dẫn đến sự thay đổi nồng độ các khoáng chất chính và tỷ lệ của chúng. Các tỷ lệ này cũng khác với tỷ lệ của nước biển tiêu chuẩn ở cùng độ mặn của nước. Nồng độ Mg trong tất cả các ao trong phạm vi độ mặn đó cao hơn rõ rệt so với nước biển pha loãng tiêu chuẩn ở cùng độ mặn và dao động từ 1.858,0-5.958,2 mg/ L. Ngược lại, nồng độ Na và K trong tất cả các ao đều thấp hơn rõ rệt so với nước biển tiêu chuẩn được pha loãng đến độ mặn tương ứng và dao động lần lượt từ 1.386,2-5.626,9 mg/ L đối với Na và từ 123,4-248,7 mg/ L đối với K. Tốc độ tăng trưởng riêng (SGR) bị ảnh hưởng đáng kể (p < 0,05) bởi ion Na và K, trong khi tỷ lệ sống (SR) bị ảnh hưởng đáng kể bởi ion Mg và tỷ lệ Na/K.
Kết luận: Các ion Na và K rất quan trọng cho sự tăng trưởng, trong khi các ion Mg và tỷ lệ Na/K rất quan trọng cho sự sống sót của L. vannamei. Những kết quả này cho thấy nồng độ K, Na và Mg và tỷ lệ của chúng là những yếu tố quan trọng nhất so với độ mặn thực tế của nước để sản xuất nuôi trồng thủy sản L. vannamei hiệu quả.
Giới thiệu
Tôm thẻ chân trắng (Litopenaeus vannamei) là loài thủy sản được nuôi phổ biến trên toàn thế giới, với Indonesia là một trong những quốc gia dẫn đầu. Loài này chủ yếu được nuôi ở các vùng ven biển, sử dụng nước biển pha loãng với nước ngọt. Độ mặn trong ao nuôi có thể dao động từ 5 g/L đến 35 g/L.Để tối ưu hóa sản xuất tôm ở các độ mặn khác nhau, điều quan trọng là phải đánh giá tác động của sự biến đổi hàm lượng ion và tỷ lệ khoáng chất trong nước ao.
Tỷ lệ lý tưởng của các khoáng chất trong nước nuôi tôm gần bằng tỷ lệ trong nước biển, bất kể độ mặn. Mất cân bằng ion trong nước có thể ảnh hưởng tiêu cực đến sự tăng trưởng và tỷ lệ sống của tôm. Nuôi tôm thẻ chân trắng đã thành công ở Thái lan nhưng không tối ưu ở Mỹ, Trung Quốc và Ecuaador do tỷ lệ khoáng chất trong nước ao khác với nước biển và thiếu một số khoáng chất thiết yếu trong nước ao ở các nước khác. Ảnh hưởng của độ mặn và hàm lượng khoáng chất trong môi trường nuôi đến hiệu suất tăng trưởng và tỷ lệ sống của tôm biển đã thu hút nhiều nhà nghiên cứu với những quan điểm khác nhau. Do đó, cần điều chỉnh môi trường nuôi để cung cấp tỷ lệ khoáng chất phù hợp cho tôm, đặc biệt khi nuôi ở độ mặn thấp
Nồng độ magie-canxi cần được duy trì ở tỷ lệ 3:1 để tôm L. vannamei có tỷ lệ sống và tốc độ tăng trưởng tốt nhất ở độ mặn thấp (<9,0 g/L). Ca, K và Mg là những ion quan trọng nhất cho sự sống của tôm. Tỷ lệ Ca:K cao thì cần bổ sung K để cải thiện tỷ lệ sống của tôm thẻ L. vannamei. Tỷ lệ Na:K 28:1 (tương tự nước biển) cho hiệu suất sống sót và tăng trưởng tốt nhất.
Mặc dù vai trò quan trọng của khoáng chất chính trong nước và tỷ lệ của chúng với tốc độ tăng trưởng và tỷ lệ sống của tôm đã được công bố, nhưng các nghiên cứu trên đồng ruộng và sản xuất ở quy mô thương mại còn hạn chế. Hầu hết nghiên cứu về tỷ lệ khoáng chất được thực hiện ở độ mặn thấp (<10 g/L) và quy mô phòng thí nghiệm. Ít nghiên cứu về mối quan hệ giữa tỷ lệ khoáng chất và hiệu suất tôm ở độ mặn cao hơn (15-<30 g/L). Nghiên cứu này làm rõ mối quan hệ giữa sự thay đổi tính chất khoáng trong ao nước lợ (độ mặn thay đổi từ 15-<30 g/L) và hiệu suất sản xuất tôm thẻ chân trắng L. vannamei trong ao nuôi thương phẩm.
Nguyên liệu và phương pháp
Ao nước lợ: Nghiên cứu này được thực hiện trên 7 ao nước lợ, độ mặn 18-29g/L với diện tích từ 1.200 đến 5.000 m2. Mật độ thả từ 125-128 con/m2 , trừ 1 ao là 65 con/m2 .
Nuôi tôm được thực hiện dựa trên Quy trình vận hành tiêu chuẩn (SOP), được trang bị một máy sục khí bánh guồng điện (HP) cho mỗi 23.000 PL được thả. Tôm được cho ăn thức ăn viên công nghiệp 3-5 lần một ngày. Trong 30 ngày đầu nuôi, nước mới được bổ sung vào ao để thay thế lượng nước mất đi do thoát hơi nước, từ ngày thứ 31 trở đi thay nước 5-7% hàng ngày. Các loại vôi như CaCO3, Ca(OH)2 hay dolomite được bón cho tất cả các ao nuôi nhằm duy trì chất lượng nước, ổn định độ kiềm và pH.
Đo chất lượng nước và khoáng chất: Các thông số chất lượng nước như pH, nhiệt độ và oxy hòa tan (DO) được đo hàng ngày vào lúc 05:00 và 14:00 bằng máy đo pH (EUTECH pHTestr10, Singapore), máy đo DO (YSI, Type 550A, HOA KỲ). Độ mặn được đo mỗi ngày một lần vào lúc 14 giờ bằng Máy đo khúc xạ chính (ATAGO Nhật Bản). Mẫu nước được thu thập từ tất cả các ao vào thời điểm 1-2 tuần trước khi thu hoạch, được bảo quản ở 4℃ cho đến khi phân tích thêm, tại Phòng thí nghiệm Năng suất và Môi trường Thủy sản, Khoa Quản lý Tài nguyên Thủy sản, Khoa Thủy sản và Khoa học Biển, Đại học Nông nghiệp Bogor, Bogor, Tây Java, Indonesia. Các khoáng chất chính Cl, Na, SO4 và K được phân tích theo quy trình chuẩn, trong khi Ca và Mg được thực hiện dựa trên Tiêu chuẩn Quốc gia Indonesia (Bảng 1).
Bảng 1: Các phương pháp phân tích chất lượng nước được sử dụng trong nghiên cứu này

Tỷ lệ sống và tăng trưởng của tôm: Trọng lượng tôm được theo dõi hàng tuần bắt đầu từ ngày nuôi thứ 34 cho đến thời điểm thu hoạch. Tôm được thu hoạch sau 110-120 ngày nuôi (DOC 110-120), năng suất (kg haG 1) được tính bằng cách cân tất cả tôm thu hoạch trong khi tỷ lệ sống (SR) và tốc độ tăng trưởng cụ thể (SGR) được ước tính bằng cách sử dụng công thức sau:

Trong đó, Nt và No là tổng số tôm tại thời điểm t và 0, trong khi Wt và Wo là trọng lượng cơ thể trung bình tại thời điểm t và 0.
Phân tích số liệu: Độ lệch của từng nồng độ khoáng chất ở một độ mặn nhất định giữa nước ao nuôi và nước biển pha loãng được xác định. Giả định cơ bản trong phân tích là nước biển tự nhiên có một tỷ lệ nhất định các ion chính lý tưởng cho nuôi tôm. Về vấn đề này, có giả thuyết cho rằng để cung cấp đủ nồng độ khoáng chất trong nước cho nuôi tôm biển ở bất kỳ độ mặn nào. Để phân tích sâu hơn, sử dụng thành phần khoáng chất của nước biển thông thường làm tiêu chuẩn. Do đó, một “đồ họa tiêu chuẩn” (Hình 1) được tạo ra thể hiệ mối quan hệ tuyến tính giữa nồng dộ ion chính và độ mặn (Hình 1). So sánh tỷ lệ ion chính trong nước ao với đồ thị tiêu chuẩn để xác định thiếu hụt khoáng chất. Phân tích ảnh hưởng của thành phần khoáng chất đến tốc độ tăng trưởng và tỷ lệ sống bằng Chương trình tương quan của Person SPSS 20.0 và hồi quy tuyến tính bội đã được sử dụng như sau:
Y = βo+ β1X1 + β2X2 + …….. + βmXm+ ɛ
trong đó Y là biến phụ thuộc, X1 …….Xm là các biến độc lập còn g đại diện cho sai số ngẫu nhiên.
Thành phần khoáng chất thích hợp trong nước nuôi tôm thẻ chân trắng sau đó được phân tích mô tả bằng cách so sánh và tạo mối tương quan với hiệu suất sản xuất ở mỗi ao.

Hình 1: Đồ thị (giá trị) tiêu chuẩn về nồng độ khoáng chất của các ion chính ở các độ mặn khác nhau trong nước biển thông thường pha loãng với nước cất
Kết quả
Chất lượng nước, nồng độ các khoáng chất chính và tỷ lệ của chúng: Giá trị pH trung bình vào buổi sáng ở tất cả các ao đều có độ pH tương tự nhau và tăng nhẹ vào buổi chiều (Bảng 2). Mô hình và mức độ tương tự cũng được biểu thị bằng lượng oxy hòa tan (DO) vào buổi sáng và buổi chiều. Nhiệt độ tăng nhẹ từ sáng đến chiều do cường độ nắng tăng.
Bảng 2: Giá trị trung bình của pH, oxy hòa tan (DO), nhiệt độ và độ mặn của nước ao nuôi trong thời gian nghiên cứu

m: Buổi sáng, af: Chiều
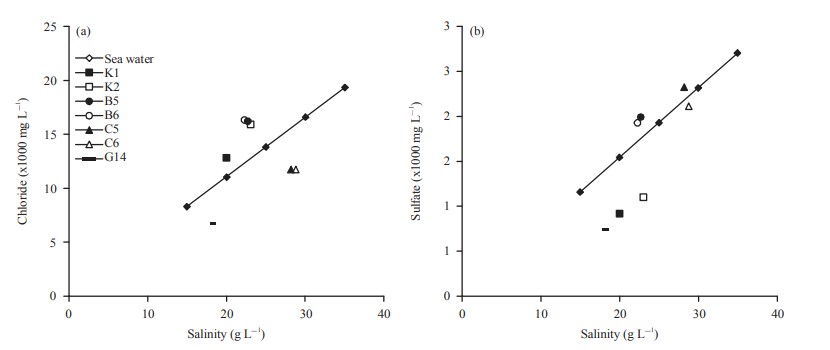
Kết quả phân tích nước cho thấy độ mặn của nước ao có sự khác nhau giữa các nước trong ao. Tổng nồng độ các khoáng chất chính thấp hơn trong tất cả các ao được nghiên cứu so với nước biển tiêu chuẩn, mặc dù một số khoáng chất riêng lẻ cao hơn. Sự khác biệt về nồng độ khoáng chất chính trong mỗi ao so với đồ họa tiêu chuẩn được minh họa trong Hình 2-4.
Nồng độ clorua và SO4 trong tất cả các ao cho thấy mô hình sai lệch tương tự như đồ họa tiêu chuẩn. Các ao (K1, K2, B5 và B6) cho thấy nồng độ Cl cao hơn nhưng các ao khác (G14, C5 và C6) cho thấy nồng độ Cl thấp hơn so với các ao trong nước biển tiêu chuẩn, mặc dù cường độ sai lệch hẹp đáng kể (Hình 2a). Nồng độ sunfat trong ao B5, B6, C5 và C6 cao hơn một chút so với nồng độ trong nước biển tiêu chuẩn như được trình bày trong đồ họa tiêu chuẩn. Ngược lại, nồng độ sunfat thấp hơn rõ rệt ở các ao G14, K1 và K2 (Hình 2b). Nồng độ thấp nhất của cả Cl và SO4 được tìm thấy ở ao G14.

Hình 2(a-b): Nồng độ của (a) Clorua và (b) Sulphate so với đồ thị tiêu chuẩn của các chất trong nước biển thông thường được pha loãng theo giả thuyết bằng nước cất

Hình 3(a-b): Nồng độ của (a) Canxi và (b) Magiê so với đồ thị tiêu chuẩn của những chất trong nước biển thông thường được pha loãng theo giả thuyết bằng nước cất
Hàm lượng Ca trong ao K1, K2, C5 và C6 rất gần với nước biển tiêu chuẩn, trong khi đó ở ao B5 và B6 cao hơn rõ rệt so với nước biển tiêu chuẩn nhưng nồng độ Ca ở ao G14 thấp nhất đáng kể (Hình 3a).
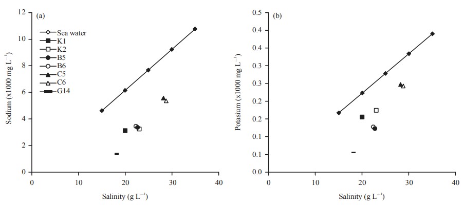
Nồng độ Mg trong tất cả các ao nuôi đều cao hơn rõ rệt so với nước biển tiêu chuẩn và nồng độ Mg cao đáng chú ý nhất được tìm thấy ở ao K1, K2 C5 và C6 trong khi nồng độ Mg thấp được tìm thấy ở ao G14 (Hình 3b). Ngược lại, nồng độ Na và K trong tất cả các nước ao đều thấp hơn rõ rệt so với nồng độ trong nước biển tiêu chuẩn và ao G14 có nồng độ Na và K thấp nhất đáng chú ý (Hình 4a, b).
Tỷ lệ Na/K trong tất cả các nước ao đều thấp hơn so với nước biển tiêu chuẩn (Hình 4a, b), mặc dù độ lệch được coi là hẹp, đặc biệt ở ao B5 và B6. Tỷ lệ khoáng chất Ca/K ở tất cả các ao đều cao hơn so với nước biển tiêu chuẩn và cao hơn đáng kể ở ao B5 và B6, cao hơn 6 lần. Tỷ lệ khoáng chất trong nước ao cao hơn so với nước biển tiêu chuẩn cũng được tìm thấy ở tỷ lệ Mg/Ca. Tuy nhiên, về vấn đề này, tỷ lệ Mg/Ca trong ao B5 và B6 cho thấy gần với nước biển tiêu chuẩn hơn nhiều so với các ao khác cao hơn 3-7 lần. Trong trường hợp tỷ lệ Mg/K, tất cả các ao đều cho thấy, cao hơn nhiều (5-11 lần), so với tỷ lệ trong nước biển tiêu chuẩn.
Tốc độ tăng trưởng khoáng chất chính, tỷ lệ sống và mối quan hệ sản xuất: Trọng lượng cơ thể trung bình ban đầu của tôm trong tất cả các ao như mô tả trong Bảng 3 được đo vào ngày nuôi (DOC) 34 và dao động từ 1,93-2,73g. Tôm ở tất cả các ao đều tăng trưởng nhưng có tốc độ tăng trưởng riêng khác nhau (SGR). Phân tích thống kê sử dụng Chương trình tương quan Pearson’s SPSS 20.0 cho thấy SGR bị ảnh hưởng đáng kể (p < 0,05) bởi nồng độ Na và K trong nước ao với hệ số tương quan lần lượt là 0,851 và 0,907 đối với Na và K. Mô hình hồi quy cho mối tương quan này như sau:
Y = 0,48 + 0,01 X1 – 0,023 X2
Trong đó:
Y = SGR
X1 = Na
X2 = K
Bảng 3: Tốc độ tăng trưởng riêng (SGR), tỷ lệ sống (SR) và sản lượng tôm thẻ chân trắng L. vannamei nuôi ở các độ mặn nước khác nhau

Độ mặn và thành phần khoáng chất chính trong tất cả các ao nghiên cứu nhìn chung mang lại 2 nhóm đạt được SGR. Nhóm đầu tiên gồm các ao B5, B6, K1 và G14 có SGR cao trên 3,0 và nhóm còn lại gồm các ao C5, C6 và K2 có SGR thấp hơn 3,0 (Bảng 3). SGR cao nhất đạt được ở ao B6 (Bảng 3), trong đó nồng độ Na và K trong ao này lần lượt là 3.447,8 và 129,3 mg/L (Bảng 3). Nồng độ Na và K cao hơn và thấp hơn khiến tôm tăng trưởng chậm hơn. SGR cao dẫn đến trọng lượng cơ thể trung bình (MBW) cao là 35-42 g/ pcs (ao B5, K1, B6) vào ngày thu hoạch (DOC 120), trong khi SGR thấp hơn dẫn đến MBW thấp hơn là 30-32 g/pcs. Cần lưu ý rằng ao G14 là một trường hợp ngoại lệ, mặc dù có mật độ thả thấp nhất là 65 PL/ m2, tôm đã được thu hoạch sớm hơn do bùng phát virus hội chứng đốm trắng (WSSV). Do đó, MBW thu được từ ao này thấp ở mức 25,08 g. SGR cao (ở ao B5, B6 và K1) mang lại hiệu quả tăng trưởng tôm tốt hơn so với các ao khác như được chỉ ra trong Hình 5.
Trong thời gian nuôi, độ mặn và thành phần khoáng chất khác nhau trong nước ao cũng dẫn đến tỷ lệ sống khác nhau (Bảng 3). Sử dụng cùng một phương pháp phân tích thống kê cho thấy tỷ lệ sống (SR) bị ảnh hưởng đáng kể (p<0,05) bởi nồng độ Mg và tỷ lệ Na/K với hệ số tương quan lần lượt là 0,925 và -0,847 đối với nồng độ Mg và tỷ lệ Na/K. Mô hình hồi quy cho mối tương quan này như sau:
Y = 252.9570.03 X1 -7.72 X2
Trong đó:
Y = SR
X1 = Mg
X2 = Na/K
Độ mặn và thành phần khoáng chất chính trong tất cả các ao nghiên cứu cũng mang lại 2 nhóm đạt thành tích SR. Nhóm đầu tiên bao gồm các ao C5, K1 và K2 có SR cao 73-76% và nhóm khác bao gồm các ao B5, B6, C6 và G14 có SR thấp hơn 61-68% (Bảng 3). SR cao nhất được tìm thấy ở ao K2, có hàm lượng Mg cao nhất 5.958,2 mg/L. Nồng độ Mg thấp hơn khiến SR thấp hơn. SR thấp nhất được tìm thấy ở ao G14, ao có nồng độ Mg thấp nhất là 1.858,0 mg/L trong số 6 ao còn lại. Tuy nhiên, cũng cần lưu ý rằng ao G14 với mật độ thả tôm bằng một nửa các ao khác (65 PL/ m2), không may bị nhiễm virus hội chứng đốm trắng (WSSV) gây tỷ lệ chết cao hơn (Bảng 3). SR thấp ở ao B6 (61,82%) được bù đắp bằng SGR cao để đạt năng suất cao 28.865 kg/ ha trong khi SR cao ở ao K2 (76,23%) đạt năng suất thấp hơn 27.784 kg/ ha do có SGR thấp hơn chỉ 2,84.
Thảo luận
Các thông số chất lượng nước (DO, pH, nhiệt độ, độ mặn) trong nghiên cứu này phù hợp cho nuôi tôm thẻ chân trắng. DO tối ưu cho nuôi tôm phải >4,0 ppm, trong khi độ pH và nhiệt độ lần lượt là 7,5-8,5 và 26-32℃. Độ mặn thích hợp cho L. vannamei là 15-30 g/L. Thành phần khoáng chất chính (Na, Cl, Mg, SO4, Ca, K) thay đổi theo độ mặn.
Thành phần khoáng chất trong nước ao ảnh hưởng đến quá trình sinh lý của tôm. Nghiên cứu trước đây tiết lộ rằng độ mặn của nước ở mức thấp hơn 10 g/L có thể dẫn đến nồng độ và tỷ lệ các khoáng chất chính khác nhau. Nghiên cứu này cho thấy độ mặn của nước từ 18,0-28,8 g/L dẫn đến nồng độ và tỷ lệ các khoáng chất chính khác nhau với một số lưu ý đáng chú ý. Độ mặn nước thấp thường thiếu K, Mg và SO4 so với nước biển pha loãng ở cùng độ mặn. Ngược lại, nghiên cứu này cho thấy độ mặn của nước cao hơn là do thiếu K và Na, trong khi lượng SO4 có xu hướng thấp hơn ở độ mặn thấp hơn. Mặt khác, nồng độ Mg cao hơn nhiều so với nước biển tiêu chuẩn ở cùng độ mặn. Khoáng chất này thể hiện xu hướng cao hơn ở độ mặn cao hơn. Sự biến đổi nồng độ khoáng chất chính này xảy ra ở tất cả các ao nước lợ ở cùng độ mặn phụ thuộc vào nồng độ khoáng chất trong nước mặt hoặc nước ngầm để pha loãng nước biển. Thành phần khoáng chất của nước trong ao cũng bị ảnh hưởng bởi việc sử dụng khoáng chất để duy trì chất lượng nước.
Roy và cộng sự mô tả rằng sự thiếu hụt K, Mg và sunfat trong nước có độ mặn thấp (10 g/L) gây ra tác động tiêu cực đến sự phát triển và tỷ lệ sống của tôm thẻ chân trắng L. vannamei. Nghiên cứu này cho thấy tốc độ tăng trưởng của tôm bị ảnh hưởng đáng kể bởi nồng độ Na và K khi tôm được nuôi trong nước có độ mặn 20-29 g/L. Khi nồng độ Na trong nước ao nuôi thấp hơn trong nước biển tự nhiên ở cùng độ mặn thì nồng độ Na tối ưu dường như nằm trong khoảng 3.360-3 và 447 mg/L biểu thị SGR cao 3,02-3,29. Ion K cũng có vai trò tương tự, nồng độ tối ưu của khoáng chất này trong tất cả các độ mặn của nước dường như là 123,4-129,3 mg/L để đạt được SGR cao.
Nồng độ Na tối ưu là 3.360 – 3.447 mg/L (SGR cao). Nồng độ K tối ưu là 123,4 – 129,3 mg/L. Mg cao hơn dẫn đến tỷ lệ sống cao hơn khi tôm được nuôi ở độ mặn thấp < 10 g/L. Nồng độ tối ưu của Mg là 174,2 mg/L cho thấy SR tối đa là 76,2% xảy ra ở nồng độ Mg này. Tỷ lệ Na/K nên gần bằng tỷ lệ trong nước biển tiêu chuẩn là 27,6 để đạt được SR cao khi tôm được nuôi ở độ mặn nước thấp < 10 mg/L. Nghiên cứu hiện tại cho thấy SR cao 73-76,2% (K1, K2, C5) đạt được ở tỷ lệ Na/K thấp là 18,7-22,6 thay vì 27,6. Trong khi đó tỷ lệ Na/K cao hơn 26,7-27,2 (B5, B6) gần với tỷ lệ trong nước biển bình thường hơn, dẫn đến SR24 thấp hơn ở mức 61-66%. Tỷ lệ Na/K tối ưu cho SR là 85,2 khi L. vannamei được nuôi trong nước biển nhân tạo có độ mặn 30 g/L. Nghiên cứu này cho thấy độ lệch nồng độ K thấp hơn mang lại hiệu quả tích cực hơn đối với SR so với tỷ lệ Na/K và nồng độ Na ở độ mặn 18-29 g/L (Hình 4). Mặc dù các khoáng chất chính trong nước ao được nghiên cứu không ở nồng độ và tỷ lệ lý tưởng, sản lượng tôm từ các ao này tương đối cao hơn sản lượng được báo cáo trước đây. Năng suất đạt 11.722-19.016 kg/ ha khi nuôi L. vannamei trong nước lợ ở độ mặn nước 26,0-29,0 g/L ở Lampung, Sumatra, Indonesia. Sản lượng tôm có thể được cải thiện bằng cách bón phân để đạt được sự cân bằng về nồng độ khoáng chất chính trong nước biển.

Hình 4(a-b): Nồng độ của (a) Natri và (b) Kali so với đồ thị tiêu chuẩn của những chất trong nước biển thông thường được pha loãng theo giả thuyết bằng nước cất

Hình 5: Hiệu suất tăng trưởng của tôm thẻ chân trắng L. vannamei được nuôi ở các tỷ lệ độ mặn và khoáng chất khác nhau
Kết luận
Các ion Na và K ảnh hưởng đáng kể đến tốc độ tăng trưởng riêng (SGR) của L. vannamei, trong khi các ion Mg và tỷ lệ Na/K là những khoáng chất quan trọng cho sự sống của tôm. Nghiên cứu này chứng minh rằng nồng độ K tối ưu cho sự phát triển của L. vannamei nằm trong khoảng 123,4-129,3 mg/L. Đây là báo cáo đầu tiên của nghiên cứu thực địa xác định vai trò quan trọng của nồng độ Na, K, Mg cũng như tỷ lệ Na/K đối với tỷ lệ sống, tăng trưởng và sản xuất của L. vannamei.
Theo Bambang Widigdo, Wiyoto, Julie Ekasari và Alim Isnansetyo
Biên dịch: Nguyễn Thị Quyên – Bình Minh Capital
Xem thêm:
- Sử Dụng Đồng Sunfat Trong Ao Nuôi Cá, Tôm
- Mức Tiêu Thụ Oxy Của Tôm Thẻ Chân Trắng Litopenaeus vannamei Trong Ao Nuôi Thâm Canh Dựa Trên Hệ Thống Mô Hình Động
- Ảnh Hưởng Của Vỏ Chanh Lên Men Như Một Chất Phụ Gia Thức Ăn Chức Năng Lên Sự Tăng Trưởng, Đáp Ứng Miễn Dịch Không Đặc Hiệu Và Khả Năng Kháng Vibrio alginolyticus Ở Tôm Chân Trắng Litopenaeus vannamei
English