Một ấn phẩm mới đã phát hiện ra rằng việc kết hợp probiotic cùng với các enzyme ngoại sinh để bổ sung vào hệ thống nuôi tôm thâm canh có thể thúc đẩy các thông số tăng trưởng và cải thiện môi trường nuôi cho tôm.

Tôm thẻ chân trắng
Người nuôi tôm đang bắt đầu áp dụng probiotics trong chu kỳ nuôi vì lợi khuẩn có thể giúp cải thiện chất lượng nước và khả năng hấp thụ thức ăn của tôm
Khi mật độ thả giống trong các hệ thống nuôi thâm canh tăng lên, các trang trại sẽ phải đối mặt với rủi ro bùng phát và lây truyền dịch bệnh lớn hơn, cũng như chất lượng nước trong chu kỳ nuôi sẽ giảm. Những điều kiện này gây căng thẳng cho tôm, có thể dẫn đến tỷ lệ chết cao và thiệt hại kinh tế đáng kể.
Để đối phó với những thách thức này, người nuôi tôm đang dần chuyển qua sử dụng probiotic. Những vi khuẩn này hoạt động như một công cụ phòng bệnh vì chúng có thể giúp cải thiện chất lượng nước và cải thiện việc sử dụng chất dinh dưỡng trong hệ thống tiêu hóa của tôm. Mặc dù những lợi ích này làm cho probiotic giống như một loại thuốc có thể chữa bách bệnh, nhưng các nhà nghiên cứu lưu ý rằng chúng cần được áp dụng đúng cách để thấy được lợi ích trong sản xuất. Ngoài việc tối ưu hóa ứng dụng probiotic, một nghiên cứu mới cho thấy rằng việc đưa các enzyme ngoại sinh vào hệ thống nuôi cũng có thể mang lại lợi ích – nhưng các nhà nghiên cứu hiện chưa xác định được tác động của việc sử dụng song song hai chiến lược này.
Để kiểm tra điều này, các nhà nghiên cứu từ Đại học Kỹ thuật Thủy sản Jakarta, Cơ quan Nghiên cứu và Đổi mới Quốc gia, PT Sinergi Samudera Biru và Biomin Holding GmbH đã đánh giá hiệu quả của việc cho ăn nhiều loại probiotic thương mại, enzyme và quá trình lên men đối với các thông số tăng trưởng và môi trường nuôi của tôm thẻ chân trắng (Litopenaeus vannamei), trong hệ thống nuôi thâm canh.
Probiotic và enzyme đa chủng loại
Đối với thử nghiệm này, các nhà nghiên cứu đã áp dụng liên tục probiotic và nhiều loại probiotic thương mại ở ba liều lượng khác nhau (0,2, 0,4 và 0,6 mg/L) trong 30 ngày đầu tiên nuôi tôm thẻ chân trắng trong hệ thống thâm canh. Probitics được áp dụng cách ngày, trong khi enzyme được bổ sung vào hệ thống 6 ngày một lần trong suốt thời gian thử nghiệm.
Các nhà nghiên cứu đã báo cáo: “Kết quả cho thấy nhóm được bổ sung 0,6 mg/L probiotic + enzyme có sinh khối cuối cùng cao nhất, trọng lượng trung bình cao nhất và tỷ lệ giữ protein tốt nhất, cũng như tỷ lệ chuyển đổi thức ăn thấp hơn so với nhóm đối chứng.”
Theo kết quả nghiên cứu, nhóm bổ sung 0,6 mg/L probiotic + enzyme có sinh khối cuối cùng cao hơn 8%, và trọng lượng trung bình cuối cùng cao hơn 11%. Ngoài ra, tỷ lệ chuyển đổi thức ăn thấp hơn 7,4% so với nghiệm thức đối chứng và tỷ lệ giữ lại protein cao hơn 13%.
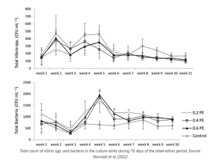
Tương tự như vậy, sự phong phú của Vibrio spp. duy trì ở mức dưới 103 cfu/mL trong suốt quá trình thử nghiệm. Các chỉ số chất lượng nước, TAN, NO₂N và NO₃N, đạt giá trị cao nhất từ tuần thứ 3 đến tuần thứ 5 và sau đó giảm dần cho đến cuối giai đoạn nuôi trong tất cả các bể. Sự suy giảm này nhanh hơn đáng kể trong các bể tôm được bổ sung probiotic + enzyme.

Hiệu quả của probiotics thương mại
Các nhà nghiên cứu báo cáo rằng: “Nghiên cứu hiện tại đã chứng minh tính hiệu quả của probiotic thương mại, có chứa Bacillus sp, Enterococcus sp, Pediococcus sp, Thiobacillus sp và Paracoccus sp kết hợp với hỗn hợp enzyme để tăng tốc độ tăng trưởng của tôm và năng suất của môi trường nuôi”.
Theo nghiên cứu, kết quả chứng minh rằng việc áp dụng liên tục probiotic và enzyme đa chủng loại có thể làm giảm tổng số lượng Vibrio spp. trong môi trường nuôi.
Các nghiên cứu trước đây đã phát hiện ra rằng probiotics có thể ức chế sự phát triển của nhiều loài vi khuẩn cơ hội, bao gồm cả Vibrio spp. và giảm sự lây lan của virus.
Mật độ nuôi được áp dụng trong thử nghiệm tăng trưởng là 500 PL/m² nên có thể xem đây là hệ thống nuôi thâm canh. Đối với mô hình canh tác này, việc áp dụng các biện pháp quản lý thích hợp là điều cần thiết để đảm bảo tối ưu hóa thức ăn, điều này cũng ảnh hưởng đến năng suất của trang trại.
Các nhà nghiên cứu tin rằng do hệ thống tiêu hóa của tôm hoạt động đặc biệt trong giai đoạn ấu trùng và giai đoạn đầu của hậu ấu trùng, nên việc bổ sung các loại enzyme protease, xylanase, cellulase và amylase có thể có tác dụng hiệp đồng, từ đó có thể giải thích cho sự tăng trưởng và thành phần protein tốt hơn của tôm được bổ sung probiotic + enzyme trong suốt thời gian nuôi.
Các nhà nghiên cứu kết luận: “Probiotics và enzyme đa chủng loại có các ứng dụng tiềm năng để kiểm soát Vibrio spp, duy trì điều kiện chất lượng nước tốt và tăng tốc độ tăng trưởng của tôm trong các hệ thống nuôi thâm canh”.
Dựa trên kết quả nghiên cứu, đối với các hệ thống nuôi tôm thâm canh, probiotic và enzyme đa chủng loại nên được áp dụng ở mức 0,6 mg/L trong 30 ngày đầu tiên, 0,8 mg/L cho đến ngày thứ 60 và 1,0 mg/L cho đến khi thu hoạch. Điều này sẽ giúp năng suất tốt hơn, kiểm soát Vibrio spp. và duy trì điều kiện chất lượng nước tốt trong hệ thống nuôi thâm canh.
Theo The Fish Site
Biên dịch: Huyền Thoại – Bình Minh Capital
Xem thêm:
- Phần 1 – Nghiên Cứu Về Hoạt Động Kiếm Ăn Của Tôm Thẻ Chân Trắng Dựa Trên Phát Hiện Âm Thanh Thụ Động
- Phần 2 – Nghiên Cứu Về Hoạt Động Kiếm Ăn Của Tôm Thẻ Chân Trắng Dựa Trên Phát Hiện Âm Thanh Thụ Động
- Dự Báo Hợp Nhất Trong Ngành Tôm Toàn Cầu
English