Tóm tắt
Mô hình thả nuôi động được sử dụng để đánh giá sản lượng tôm (Litopenaeus vannamei) và so sánh các phương án quản lý khác nhau trong điều kiện nuôi thâm canh. Mô hình được hiệu chỉnh dựa trên dữ liệu thực tế từ các trang trại ở Mexico. Kết quả cho thấy trọng lượng cuối cùng của tôm tăng trưởng trực tiếp đến thời gian nuôi và lượng oxy hòa tan, đồng thời giảm với mật độ thả giống, kích thước ao và độ mặn. Hệ số tăng trưởng tỷ lệ nghịch với nhiệt độ và lượng oxy hòa tan cũng như tỷ lệ chết tăng với nhiệt độ. Lượng oxy hòa tan ảnh hưởng đáng kể đến thời gian bắt đầu sục khí. Hồi quy tuyến tính đơn giản và thử nghiệm tương đương cho thấy sinh khối khi thu hoạch (sau 13 tuần vào mùa đông và 20 tuần vào mùa hè) được dự đoán đầy đủ bằng cách sử dụng mô hình gốc và mô hình hồi quy bội. Sản lượng cao nhất (mùa đông, 6900 kg/ ha; mùa hè, 12.600 kg/ ha) được dự đoán sử dụng 60 post/ m2, ao nhỏ (2 ha) và bắt đầu sục khí vào tuần canh tác đầu tiên; trong khi năng suất thấp nhất (mùa đông, 2600 kg/ ha; mùa hè, 6000 kg/ ha) thu được bằng cách sử dụng 40 post/ m2, ao lớn (8 ha), và trì hoãn việc bắt đầu sục khí cho đến tuần nuôi thứ 5. Năng suất thấp nhất là 38% (mùa đông) và 48% (mùa hè) năng suất cao nhất. Sử dụng ao nhỏ có thể đặc biệt quan trọng trong chu kỳ mùa đông để tăng sản lượng, trong khi mật độ thả giống và thời gian bắt đầu sục khí đóng góp ít hơn. Ngược lại, kích thước ao đóng vai trò thứ yếu trong chu kỳ mùa hè và mật độ thả giống là biến số nhạy cảm nhất.
1. Giới thiệu
Nuôi trồng thủy sản đóng vai trò quan trọng trong nền kinh tế Mexico, với sản lượng tôm nuôi chiếm 66,33% tổng sản lượng. Nhằm gia tăng sản lượng, nhiều nghiên cứu đã được thực hiện để đánh giá ảnh hưởng của các yếu tố quản lý trong quá trình nuôi tôm thâm canh. Mặc dù tài liệu về lĩnh vực này khá phong phú, đa phần tập trung vào từng yếu tố riêng lẻ. Số lượng nghiên cứu xem xét tác động đồng thời của các biến quản lý còn hạn chế.
Nghiên cứu trước đây (Ruiz-Velazco và cộng sự, 2010) sử dụng dữ liệu từ các trang trại thương mại để đánh giá ảnh hưởng của bệnh đốm trắng đến động lực sản xuất tôm (L. vannamei) thâm canh. Nghiên cứu này đã thiết lập mối liên hệ giữa các thông số mô hình, biến quản lý và chất lượng nước. Kết quả cho thấy, mật độ thả giống, kích thước ao và thời điểm bắt đầu sục khí là những yếu tố quản lý quan trọng ảnh hưởng đến năng suất tôm nuôi. Thời điểm bắt đầu sục khí sớm có thể giúp cải thiện oxy hòa tan và giảm thiểu tác động tiêu cực của bệnh đốm trắng.
Từ việc xem xét tài liệu được thực hiện cho nghiên cứu này, ngoại trừ nghiên cứu trước đây, không tìm thấy các nghiên cứu nào liên quan đến mật độ thả giống, kích thước ao và thời gian bắt đầu sục khí cho nuôi tôm. Kết quả thu được trong nghiên cứu đó đưa ra giả thuyết rằng việc vận dụng đồng thời đầy đủ các biến số quản lý, ngoài thời gian nuôi, sẽ góp phần làm tăng sản lượng tôm trong điều kiện hoạt động bình thường (nghĩa là khi không bị ảnh hưởng bởi bệnh đốm trắng). So với các biến quản lý khác, trong nghiên cứu này, các nhà nghiên cứu tập trung vào việc xác định tầm quan trọng của thời gian bắt đầu sục khí, một biến quản lý trước đây chưa được phân tích đối với điều kiện nuôi tôm bình thường.
Để kiểm tra giả thuyết này, các nhà nghiên cứu sử dụng mô hình gốc và các mối quan hệ chức năng giữa các thông số và các biến số quản lý cũng như chất lượng nước để dự kiến sản lượng sinh khối của tôm thẻ chân trắng L. vannamei cho các kế hoạch quản lý thay thế. Cơ sở dữ liệu từ các trang trại ở bang Nayarit được sử dụng để hiệu chỉnh mô hình.
2. Vật liệu và phương pháp
2.1. Khảo sát dữ liệu
Cơ sở dữ liệu được chuẩn bị từ dữ liệu từ hai trong số ba trang trại thâm canh ở Nayarit. Đơn vị nghiên cứu gồm 37 ao (1,6–8 ha) được sử dụng trong chu kỳ sản xuất mùa đông (22) và mùa hè (15). Các ao được chọn sau khi xác nhận rằng tôm không bị ảnh hưởng bởi dịch bệnh, không có vấn đề lớn trong vận hành và các biến số sinh trắc học, chất lượng nước và quản lý đã được theo dõi và đăng ký đầy đủ.
Đối với mỗi ao, các biến số sau được phân tích: trọng lượng trung bình của từng con tôm (g), số lượng tôm sống sót, năng suất sinh khối (kg ha−1), mật độ thả ban đầu (tôm post/m2), kích thước ao (ha), thời gian bắt đầu sục khí (tuần), thời gian nuôi (tuần), oxy hòa tan (mg/ l), nhiệt độ nước (◦C) và độ mặn (ppt).
Theo người nuôi, trọng lượng tôm được đo hàng tuần (cân chính xác 0,01 g và 0,1 g, Ohaus, Pine Brook, NJ); Tỷ lệ sống tích lũy của tôm được ước tính hàng tuần bằng cách lấy mẫu với lưới đúc bán kính 1,5 m làm bằng mắt lưới vuông 3,2 hoặc 25,4 mm, dây sợi đơn thắt nút; DO và T được đo mỗi ngày vào lúc 06:00 h và 18:00 h (máy đo oxy, Model 55, YSI, Yellow Springs, OH). S được đo hàng tuần (khúc xạ kế, Aquafauna Bio-Marine, Hawthorne, CA).
2.2. Mô hình stock model

2.3. Phân tích hồi quy tuyến tính
Mối quan hệ giữa các tham số của mô hình trữ lượng với quản lý và các biến chất lượng nước được phân tích bằng nhiều phương trình tuyến tính có dạng:
Q = a0 + a1D + a2PS + a3STA + a4DC + a5DO + a6T + a7S (4)
Trong đó Q đại diện cho bất kỳ tham số nào của mô hình thả giống: wf, k hoặc z, tùy thuộc vào mật độ thả ban đầu (D), kích thước ao (PS), thời gian bắt đầu sục khí (STA), thời gian nuôi (DC), oxy hòa tan (DO), nhiệt độ (T), độ mặn (S) và a0–a7 là các hệ số hồi quy. Các mô hình hồi quy bội được trang bị các bộ dữ liệu được cấu thành bằng cách ước tính các tham số mô hình nguồn gốc và các giá trị tương ứng của các biến số quản lý và chất lượng nước của tất cả các ao. Giá trị trung bình của các biến chất lượng nước được đo trong thời gian canh tác được sử dụng để phân tích. Phạm vi của các giá trị trung bình này, cùng với phạm vi của các biến quản lý được trình bày trong Bảng 1. Hồi quy tuyến tính đơn giản được sử dụng để xác định mối quan hệ giữa oxy hòa tan và thời gian bắt đầu sục khí.
Bảng 1 Phạm vi quản lý và các biến chất lượng nước được sử dụng để phân tích hồi quy bội. Giá trị trung bình tối đa và tối thiểu của các biến chất lượng nước trong thời gian canh tác được trình bày.

Sự phân tích của các mô hình hồi quy bội đã đạt được bằng hai bước. Bước 1 sử dụng quy trình từng bước lùi để lựa chọn các biến dự đoán có tương quan cao với nhau. Bước 2, kiểm tra xem các mối quan hệ chức năng của các mô hình có chính xác hay không và liệu hầu hết các yếu tố quan trọng ảnh hưởng đến các tham số của mô hình chứng khoán có được đưa vào hay không.
Để thực hiện Bước 2, các hệ số ước tính từ phân tích hồi quy được sử dụng để tính toán sinh khối dự kiến khi thu hoạch ở mỗi ao và được so sánh với sản lượng quan sát được tương ứng trong cơ sở dữ liệu. Sau đó, một phân tích hồi quy tuyến tính đơn giản giữa sinh khối tôm được quan sát và dự kiến đã được thực hiện, đặt điểm chặn ở mức 0. Nếu độ dốc hồi quy không khác biệt đáng kể so với 1 (t-test), một thử nghiệm tương đương (Chow và Liu, 2004) đã được tiến hành để bảo vệ chống lại việc không bác bỏ giả thuyết khống tương ứng một cách sai lầm (Lỗi thống kê loại II; Zar, 2010; Hauck và Anderson, 1986). Phần dư thu được từ hồi quy tuyến tính đơn giản này đã được kiểm tra tính quy phạm bằng cách sử dụng Shapiro–Wilk W-test. Để kiểm tra tính tương đương, sai số dung sai được đặt ở mức 5% (Garret, 1997).
Các quy trình phần mềm có sẵn trong Stata 10.0 (StataCorp, College Station, TX) và Statistica 6.0 (StatSoft, Tulsa, OK) đã được sử dụng để thực hiện phân tích thống kê, đặt mức ý nghĩa ở P <0,05.
Mô hình thả giống, cùng với ước tính hệ số hồi quy, được sử dụng để dự đoán động lực sản xuất cho các chiến lược quản lý thay thế được đưa ra giả thuyết có xem xét vai trò của mật độ thả giống, kích thước ao và thời gian bắt đầu sục khí. Các giá trị cực trị (tối thiểu và tối đa) của các biến quản lý và giá trị trung bình của các biến chất lượng nước có trong cơ sở dữ liệu được sử dụng để dự đoán.
Sự đóng góp của từng biến quản lý vào sự thay đổi sản lượng sinh khối đã được tính toán. Tỷ lệ phần trăm tăng sinh khối có thể đạt được khi sử dụng các giá trị cực trị của biến số được tính toán cho mọi sự kết hợp các giá trị cực trị của các biến quản lý khác. Sự đóng góp của biến sau đó được tính toán bằng cách xác định tỷ lệ phần trăm tăng tối thiểu, tối đa và trung bình. Giá trị trung bình càng cao thì vai trò của biến đó đối với việc quản lý càng quan trọng.
3. Kết quả
Bằng phương pháp hồi quy ANOVA, các kết quả quan trọng đã thu được khi đường cong tăng trưởng và tỷ lệ sống được khớp với các bộ dữ liệu tương ứng với tất cả các ao (Hình 1). Các mô hình tăng trưởng và tồn tại cho thấy tính linh hoạt trong việc mô tả các loại xu hướng dữ liệu khác nhau.

Hình 1. Ví dụ về các đường cong tăng trưởng phù hợp (a) hai cho mùa đông và một cho mùa hè, và các đường cong sinh tồn (b) một cho mỗi mùa, sử dụng mô hình gốc.
Kết quả từ hồi quy bội trong Bảng 2 cho thấy ngoại trừ thời gian bắt đầu sục khí, tồn tại mối quan hệ đáng kể giữa các thông số của mô hình gốc và các biến số quản lý và chất lượng nước. Trọng lượng cuối cùng của tôm (wf) liên quan trực tiếp đến thời gian nuôi và lượng oxy hòa tan, và tỷ lệ nghịch với mật độ thả giống, kích thước ao và độ mặn. Có mối quan hệ nghịch đảo giữa hệ số tăng trưởng (k) với nhiệt độ và oxy hòa tan cũng như giữa tỷ lệ chết tức thời (z) và nhiệt độ. Ngược lại, oxy hòa tan có liên quan đáng kể đến thời gian bắt đầu sục khí (DO = −0,068STA + 10,18). Việc sục khí bắt đầu sớm tạo ra giá trị trung bình của oxy hòa tan cao hơn. Mối quan hệ này được sử dụng để dự đoán cách thức wf và k có thể được kiểm soát tại thời điểm bắt đầu sục khí.
Đã thu được mối quan hệ đáng kể giữa sản lượng sinh khối trong cơ sở dữ liệu và sản lượng được tính toán theo mô hình gốc, sử dụng các hệ số hồi quy được liệt kê trong Bảng 1 và các phương trình dự đoán oxy hòa tan là hàm số của thời gian bắt đầu sục khí (Hình 2). Hệ số hồi quy không khác biệt đáng kể so với 1 và sự tương đương giữa hệ số và 1 đã được xác định. Phân tích phần dư không chỉ ra những sai lệch hướng so với đường thẳng vừa vặn và không tìm thấy bằng chứng nào cho thấy các giá trị phần dư không được phân phối chuẩn. Chúng tôi kết luận rằng: (1) các mối quan hệ chức năng được sử dụng là chính xác; (2) hầu hết các yếu tố quan trọng ảnh hưởng đến sinh khối tôm đều được đưa vào; và (3) không cần các yếu tố dự đoán khác ngoài những yếu tố được xem xét trong biểu thức. (4).

Hình 2. Mối quan hệ giữa sản lượng sinh khối quan sát được và dự kiến, sử dụng mô hình trữ lượng và các hệ số hồi quy trong Bảng 2.
Bảng 2 Các hệ số hồi quy được sử dụng để dự đoán các giá trị tham số của mô hình gốc như một hàm của các biến số quản lý và chất lượng nước.

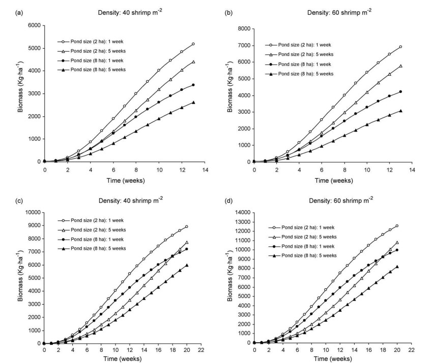
Sử dụng mô hình gốc để dự đoán động thái sản xuất cho thấy năng suất cao nhất sẽ đạt được nếu sử dụng thời gian canh tác dài nhất (13 tuần vào mùa đông và 20 tuần vào mùa hè). Những giai đoạn nuôi này được sử dụng để tính toán sản lượng. Sản lượng cao nhất (mùa đông, 6900 kg/ha; mùa hè, 12.600 kg/ha) được dự đoán sử dụng 60 post/ m2, ao nhỏ (2 ha) và bắt đầu sục khí trong tuần nuôi đầu tiên (Hình 3); trong khi năng suất thấp nhất được dự đoán khi sử dụng 40 post/ m2, ao lớn (8 ha) và trì hoãn việc bắt đầu sục khí cho đến tuần canh tác thứ năm (mùa đông, 2600 kg/ ha; mùa hè, 6000 kg/ ha). Trong những điều kiện này, sản lượng được dự đoán là 38% vào mùa đông và 48% vào mùa hè với năng suất dự đoán cao nhất.

Hình 3. Động thái dự đoán của sản xuất tôm là hàm số của mật độ thả giống, kích thước ao, thời điểm bắt đầu sục khí và thời gian nuôi trong chu kỳ sản xuất mùa đông (a và b) và mùa hè (c và d).
Phân tích sự đóng góp của từng biến quản lý vào những thay đổi về sản lượng sinh khối cho thấy kích thước ao nuôi đặc biệt quan trọng trong chu kỳ mùa đông (Bảng 3), trong khi mật độ thả giống và thời gian bắt đầu sục khí đóng góp ít hơn. Ngược lại, kích thước ao nuôi đóng vai trò thứ yếu trong chu kỳ sản xuất mùa hè, trong khi mật độ thả giống là biến số nhạy cảm nhất.
Bảng 3 Đóng góp của các biến quản lý vào việc tăng sinh khối tôm. Giá trị của mỗi biến là tỷ lệ phần trăm tăng sinh khối tối thiểu, tối đa và trung bình thu được từ mức tăng được tính toán cho mỗi tổ hợp giá trị cực trị (trong ngoặc đơn) của các biến quản lý còn lại. Giá trị trung bình cho biết sự đóng góp của từng biến.

4. Thảo luận
Kết quả nghiên cứu cho thấy việc áp dụng các kế hoạch quản lý sản xuất thâm canh tôm thẻ chân trắng L. vannamei có thể ảnh hưởng đáng kể đến năng suất sinh khối. Trong chu kỳ mùa đông, việc sử dụng các ao nhỏ có thể giúp nông dân thu được trọng lượng tôm cuối cùng lớn hơn (Bảng 2). Điều này giúp bù đắp cho sản lượng thấp hơn thường xảy ra trong mùa đông. Mặt khác, mật độ thả cao dường như là cách hiệu quả hơn để tăng sản lượng trong chu kỳ sản xuất mùa hè. Thời điểm bắt đầu sục khí đóng vai trò thứ yếu trong việc quyết định sản lượng tôm trong cả hai vụ.
Ảnh hưởng của mật độ thả nuôi đến tăng trưởng, tỷ lệ sống và năng suất của tôm đã được nghiên cứu rộng rãi. Tác động tiêu cực của mật độ thả giống đến năng suất của tôm thẻ chân trắng L. vannamei thường được báo cáo (Wyban và cộng sự, 1987; Moss và Moss, 2004; Araneda và cộng sự, 2008). Kết quả của chúng tôi cũng cho thấy rằng tăng trưởng bị ảnh hưởng tiêu cực bởi mật độ cao hơn, dẫn đến sản lượng tôm thấp hơn.
Các nghiên cứu trước đây đã chỉ ra rằng các ao nuôi nhỏ có thể giúp cải thiện tăng trưởng, tỷ lệ sống, năng suất và lợi nhuận kinh tế của Penaeus monodon. Những phát hiện tương tự đối với L. vannamei cũng được báo cáo (Hernandez-Llamas và Villarreal-Colmenares, 1999; Magallon, 2006) và nghiên cứu này cũng chỉ ra rằng trọng lượng cuối cùng và sản lượng sinh khối của tôm thu được lớn hơn ở các ao nhỏ hơn. Điều này là do độ nhạy cao của sản xuất đối với trọng lượng cuối cùng.
Sục khí thường được sử dụng để cải thiện chất lượng nước trong ao và nâng cao năng suất chăn nuôi thủy sản. Oxy hòa tan là yếu tố chính trong sản xuất thâm canh và nó liên quan trực tiếp đến tốc độ sục khí (Hopkins và cộng sự, 1991). Nghiên cứu của McGraw và cộng sự (2001) với L. vannamei và Litopenaeus stylirostris, cho thấy rằng việc tăng lượng oxy hòa tan tối thiểu bằng cách sục khí dẫn đến tỷ lệ sống, năng suất và thu nhập ròng cao hơn, mặc dù không có sự khác biệt đáng kể nào xảy ra về trọng lượng cuối cùng. Nghiên cứu này cho thấy tác động tích cực của lượng oxy hòa tan cao hơn đến trọng lượng cuối cùng và lượng oxy hòa tan đó lại được kiểm soát bởi thời gian bắt đầu sục khí.
Nghiên cứu trước đây chỉ ra rằng việc bắt đầu sục khí sớm bị trì hoãn và giảm thiểu tác động tiêu cực của bệnh đốm trắng trên tôm thẻ chân trắng L. vannamei (Ruiz-Velazco và cộng sự, 2010). Trầm tích đáy lắng đọng dần dần trước khi bắt đầu sục khí. Việc bắt đầu sục khí muộn sẽ gây ra nhiều trầm tích lơ lửng hơn và làm giảm lượng oxy hòa tan trung bình. Điều này dẫn đến hoạt động hô hấp bị suy giảm và tôm bị nhiễm bệnh dễ bị tổn thương hơn khi lượng oxy hòa tan thấp. Tuy nhiên, trong điều kiện hoạt động bình thường thời điểm bắt đầu sục khí có tầm quan trọng thứ yếu trong việc kiểm soát sản lượng tôm so với các yếu tố quản lý khác. Điều này có thể là do tôm khỏe mạnh giảm độ nhạy cảm với lượng oxy hòa tan thấp và chất lượng nước kém sau khi loại bỏ trầm tích đáy ao.
Năng suất sinh khối được kỳ vọng sẽ tăng liên tục khi thời gian nuôi tăng lên. Sinh khối cho thấy đạt tối đa khi sử dụng thời gian nuôi dài nhất. Tôm lớn hơn thu được khi nuôi trong thời gian dài hơn, mặc dù không có bằng chứng nào về tỷ lệ chết (ước tính là tỷ lệ tức thời) bị ảnh hưởng bởi yếu tố quản lý này.
Thông thường, tôm phát triển tốt hơn nhờ nhiệt độ cao hơn và độ mặn thấp hơn trong chu kỳ mùa hè so với chu kỳ mùa đông. Kết quả nghiên cứu cho thấy trọng lượng cuối cùng cao hơn xảy ra khi độ mặn giảm. Tuy nhiên, chúng tôi không tìm thấy mối liên hệ giữa trọng lượng cuối cùng của tôm và nhiệt độ. Điều này có thể là do các biến số quản lý và chất lượng nước khác giải thích sự khác biệt về trọng lượng cuối cùng, khiến nhiệt độ trở thành một yếu tố dự báo dư thừa. Tuy nhiên, đã phát hiện nhiệt độ cao hơn có tác động tích cực đến tỷ lệ sống của tôm. Điều này phù hợp với những phát hiện của Ponce-Palafox và cộng sự (1997) và Hennig và Andreatta (1998), những người đã báo cáo rằng nhiệt độ cao hơn làm tăng tỷ lệ sống của tôm thẻ chân trắng L. vannamei và Penaeus paulensis từ 20 đến 30℃.
Mối quan hệ giữa hệ số tăng trưởng k với chất lượng nước và các biến quản lý không đơn giản. Khi k < 1, đường cong tăng trưởng hình sigmoid được xác định rõ hơn. Khi k > 1 tôm đang tăng trưởng theo cấp số nhân. Các đường cong sigmoid và hàm mũ có thể liên quan đến các điều kiện vận hành khác nhau và không có lý do tiên nghiệm nào để cho rằng các điều kiện canh tác tốt hơn hay kém hơn nhất thiết dẫn đến một trong hai loại đường cong tăng trưởng. Trong nghiên cứu của chúng tôi, hệ số k chỉ được sử dụng cho mục đích mô tả và không có nỗ lực nào được thực hiện để giải thích các giá trị của nó do hậu quả của các điều kiện canh tác cụ thể.
Phương pháp lập mô hình được sử dụng trong nghiên cứu này có thể được điều chỉnh để áp dụng cho các điều kiện canh tác ở các khu vực khác nhau. Tùy thuộc vào mục tiêu nghiên cứu, các phương pháp khác nhau như phân tích hồi quy bội, phân tích các biến phân loại hoặc tương tác giữa các yếu tố dự đoán có thể được sử dụng. Tuy nhiên, việc sử dụng các phương pháp này có thể dẫn đến việc xác định các yếu tố gây nhiễu (ví dụ: ảnh hưởng của mùa che khuất vai trò của nhiệt độ) hoặc tương tác không mong muốn. Nghiên cứu này tập trung vào việc phân tích mối quan hệ giữa các thông số mô hình trữ lượng và các biến quản lý cũng như chất lượng nước. Việc xây dựng các mô hình chi tiết chỉ được thực hiện sau khi xác nhận tính chính xác của các mối quan hệ chức năng được sử dụng và không có bằng chứng nào cho thấy việc loại trừ các yếu tố quan trọng ảnh hưởng đến sinh khối tôm.
Với những kết quả này, sinh khối của tôm thẻ chân trắng L. vannamei có thể đạt được tối đa hóa bằng cách sử dụng mật độ thả cao nhất, ao nuôi nhỏ nhất, bắt đầu sục khí sớm nhất và thời gian nuôi dài nhất. Ao nhỏ và mật độ thả giống cao được khuyến khích đặc biệt cho chu kỳ mùa đông và mùa hè. Nghiên cứu trong tương lai nên tập trung vào việc xác nhận dự đoán về sản lượng liên quan đến các khuyến nghị này và xác định, từ góc độ kinh tế, các giá trị tối ưu của các biến quản lý.
Theo Javier M.J. Ruiz-Velazco, Alfredo Hernández-Llamas, Victor M. Gomez-Muñoz
Biên dịch: Nguyễn Thị Quyên – Bình Minh Capital
Xem thêm:
- Giảm Thiểu Dịch Bệnh Để Cải Thiện Năng Suất
- Nhiệt Độ Ảnh Hưởng Đến Hành Vi Kiếm Ăn Của Tôm Thẻ Chân Trắng
- Ý Tưởng Thiết Kế Hệ Thống Nuôi Tôm Trong Ao Bền Vững
English